Главная >> Информатика 10 класс. Босова

§ 12. Арифметические операции в позиционных системах счисления

Двоичная арифметика

Арифметика двоичной системы счисления основывается на использовании следующих таблиц сложения, вычитания и умножения:

Рассмотрим несколько простых, но очень важных примеров на сложение и вычитание в двоичной системе счисления.

Пример 1.

Найдём количество единиц в двоичной записи числа, являющегося результатом десятичного выражения

    24000 + 42016 + 22018 - 8600 + 6.

Представим все операнды исходного выражения в виде степеней двойки:

    42016 = (2 • 2)2016 = (22)2016 = 22 • 2016 = 24032,
    8600 = (23)600 = 21800,
    6 = 4 + 2 = 22 + 21.

Исходное выражение примет вид:

    24000 + 42016 + 22018 - 8600 + 6 = 24000 + 24032 + 22018 - 21800 + 22 + 21.

Перепишем выражение в порядке убывания степеней:

    24032 + 24000 + 22018 - 21800 + 22 + 21.

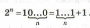
Для работы с десятичными числами вида 2n полезно иметь в виду следующие закономерности в их двоичной записи:

    21 = 10 = 1 + 1;
    22 = 100 = 11 + 1;
    23 = 1000 = 111 + 1;
    24 = 10000 = 1111 + 1 и т. д.

В общем виде:

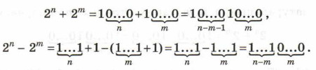
Для натуральных n и m таких, что n > m, получаем:

Эти соотношения позволят нам подсчитать количество единиц в нашем выражении, не прибегая к его вычислению.

Действительно, двоичные представления чисел 24032 и 24000 внесут в двоичное представление суммы по одной единице. Разность 22018 - 21800 в двоичной записи представляет собой цепочку из 218 единиц и следующих за ними 1800 нулей. Слагаемые 22 и 21 дают ещё 2 единицы.

Итого: 1 + 1 + 218 + 1 + 1 = 222.

Пример 2. Найдём количество цифр в восьмеричной записи числа, являющегося результатом десятичного выражения

    2299 + 2298 + 2297 + 2296.

Двоичное представление исходного числа имеет вид: Всего в этой записи 300 двоичных символов. При переводе двоичного числа в восьмеричную систему счисления каждая триада исходного числа заменяется восьмеричной цифрой. Следовательно, восьмеричное представление исходного числа состоит из 100 цифр.

 

 

???????@Mail.ru