Главная >> Информатика 10 класс. Босова

Самое главное. Вопросы и задания

§ 12. Арифметические операции в позиционных системах счисления

    Самое главное

Арифметические операции в позиционных системах счисления с основанием q выполняются по правилам, аналогичным правилам, действующим в десятичной системе счисления.

Если необходимо вычислить значение арифметического выражения, операнды которого представлены в различных системах счисления, можно:

    1) все операнды представить в привычной нам десятичной системе счисления;

    2) вычислить результат выражения в десятичной системе счисления;

    3) перевести результат в требуемую систему счисления.

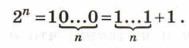
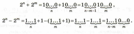
Для работы с десятичными числами вида 2n полезно иметь в виду следующие закономерности в их двоичной записи:

Для натуральных n и m таких, что n > m, получаем:

    Вопросы и задания

1. Выполните арифметические операции над двоичными числами:

    1) 10010011 + 101101;
    2) 110010,11 + 110110,11;
    3) 110101110 - 10111111;
    4) 111110 • 100010;
    5) 11111100101 : 101011.

Для того чтобы убедиться в правильности полученных результатов, найдите десятичные эквиваленты операндов и результата.

2. Какое число следует за каждым из данных:

    1) 2234; 2) 6778; 3) 22223; 4) 10012?

Ответ для каждого числа дайте в указанной и десятичной системах счисления. 3. Какое число предшествует каждому из данных:

    1) 2223; 2) 10005; 3) 2334; 4) 10012?

Ответ для каждого числа дайте в указанной и десятичной системах счисления.

4. Сумму восьмеричных чисел 17 + 1700 + 170000 + 17000000 + 1700000000 перевели в шестнадцатеричную систему счисления. Найдите в шестнадцатеричной записи числа, равного этой сумме, пятую цифру слева.

5. Вычислите значение выражения:

    1) (11111012 + AF16) : 368;
    2) 1258 + 111012 • А216 - 14178.

6. Найдите среднее арифметическое следующих чисел:

    1) 100101102, 11001002 и 1100102;
    2) 2268, 6416 и 628.

7. В примерах на сложение восстановите неизвестные цифры, обозначенные знаком вопроса, определив вначале, в какой системе счисления эти числа записаны.

8. Даны 4 целых числа, записанные в двоичной системе счисления:

    11000000, 11000011, 11011001, 11011111.

Сколько среди них чисел, больших, чем АВ16 + 258?

9. Сколько единиц в двоичной записи числа 42014 + 22015 - 9?

*10. Сколько единиц в двоичной записи числа

    84024 - 41605 + 21024 - 126?

11. Сколько цифр в восьмеричной записи числа 21024 + 21026?

12. Какая первая цифра в шестнадцатеричной записи числа 21024 + 21025?

 

 

???????@Mail.ru