Главная >> Информатика 10 класс. Босова

§ 24. Объекты компьютерной графики

Понятие разрешения

При работе с объектами компьютерной графики приходится иметь дело с разрешением экрана, разрешением изображения и разрешением печатающего устройства.

Разрешение — величина, определяющая количество точек (элементов растрового изображения) на единицу площади (или единицу длины).

Разрешением экрана монитора обычно называют размеры получаемого на экране изображения в пикселях: 1024 х 768, 1280 х 1024, 1920 х 1080. Разрешение экрана монитора — это свойство компьютерной системы (зависит от монитора и видеокарты) и операционной системы (зависит от настроек ОС).

Разрешение экрана монитора в ppi (произносится как «пи-пи-ай», сокращение от англ, pixels per inch — пикселей на дюйм; 1 дюйм ≈ 2,54 см) можно рассчитать как отношение размера диагонали экрана в пикселях к размеру диагонали в дюймах:

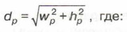
  • dp — размер диагонали экрана в пикселях;
  • di — размер диагонали экрана в дюймах.

Рассчитать размер диагонали экрана в пикселях можно по теореме Пифагора:

  • wp — ширина разрешения экрана в пикселях;
  • hp — высота разрешения экрана в пикселях.

Например, для 21,5-дюймового экрана с разрешением 1920 х 1080 (здесь wp = 1920, hp = 1080 и di = 21,5), получим ≈ 102 ppi.

Для монитора с диагональю 17 дюймов при разрешении 1280 х 1024 получаем разрешение в ppi, равное 96; при разрешении 1024 х 768 — 75 ppi.

Разрешение экрана определяет размер изображения, которое может поместиться на экране целиком.

Когда вы создаёте изображение в графическом редакторе, как правило, в начале работы устанавливаете его размеры. Вы можете посмотреть размеры в пикселях любого растрового изображения, вызвав его контекстное меню (рис. 5.8).

    Свойства графического изображения

В графическом редакторе также есть возможность посмотреть размеры обрабатываемого в нём изображения. Например, в графическом редакторе Gimp в окне Смена размера изображения можно увидеть размер изображения в пикселях, миллиметрах, дюймах или других единицах по выбору пользователя (рис. 5.9).

    Окно Смена размера изображения редактора Gimp

Окончание >>>

 

 

???????@Mail.ru