Главная >> Математика 4 класс. Петерсон

Часть 2. Урок 4

Вычитание дробей. Математика 4 класс

9. Реши уравнения с комментированием по компонентам действий и сделай проверку:

10*. Запиши с помощью фигурных скобок множество натуральных решений неравенства: Придумай другое неравенство, имеющее то же самое множество решений.

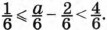
11. Сравни части величин:

12. БЛИЦтурнир.

Составь выражение и найди его значение:

а) У Алены было 7 одинаковых вафель. 4 вафли она съела. Какую часть вафель она съела?

б) В наборе 16 конфет. всех конфет составляют шоколадные конфеты. Сколько шоколадных конфет в наборе?

в) На тарелке лежит 10 пирожков, что составляет всех испеченных пирожков. Сколько всего испекли пирожков?

13. После того как Буратино решил несколько примеров, ему осталось решить в 3 раза больше, чем он решил. Сколько всего примеров надо было решить Буратино, если ему осталось решить d примеров? Составь выражение и найди его значение при d = 6. Придумай задачу про другие величины, которая решается так же.

14. “Числовой кроссворд”.

Реши примеры и запиши их в соответствующие клетки кроссворда.

15*. Продолжи ряд на два числа, сохраняя закономерность:

<<< К началу

 

 

???????@Mail.ru