Главная >> Математика 4 класс. Петерсон

Часть 2. Урок 4

Вычитание дробей

1. Практическая работа.

а) Вырежь из бумаги полоску длиной 8 см и раздели ее на 8 равных частей.

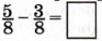
Как с помощью этой полоски проиллюстрировать пример на вычитание: Какой ответ получится? Запиши:

б) Проанализируй решение примера и выведи правило вычитания дробей.

Вычитание дробей

2. Составь по рисунку пример на вычитание и реши его:

3. Выполни вычитание с помощью числового луча:

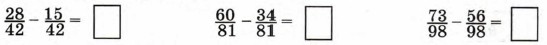
4. Найди значения разностей:

5. Выполни действия. Что ты замечаешь?

6. а) Бочонок был заполнен медом на Винни-Пух съел за ужином бочонка меда. Какая часть бочонка осталась заполнена медом?

б) За 3 дня турист прошел пути. В первый день он прошел пути, а во второй день — пути. Какую часть пути прошел турист за третий день?

7. а) Составь все возможные равенства из чисел

б) Составь выражения, значение которых равно

8. Заполни таблицы:

Окончание >>>

 

 

???????@Mail.ru