Главная >> Математика 5 класс. Виленкин

44. Вопросы и задачи на повторение (окончание)

1797. Как формулируется:

    а) свойство площадей равных фигур;
    б) свойство площадей фигуры и её частей;
    в) свойство объёмов равных фигур;
    г) свойство объёмов фигуры и её частей?

1798. Найдите площадь прямоугольника, стороны которого равны 24,6 см и 18,5 см. Выразите площадь в квадратных дециметрах.

1799. а) Найдите объём прямоугольного параллелепипеда с измерениями 28,2 см, 30 см и 25,5 см и выразите его в кубических дециметрах. б) Найдите объём куба с ребром 8 дм и выразите его в кубических метрах.

1800. Два прямоугольника имеют одну и ту же площадь. Длина первого прямоугольника равна 0,6 м, а ширина — 4 дм. Чему равна длина второго прямоугольника, если его ширина 30 см? Найдите и сравните периметры этих прямоугольников.

1801. Периметр прямоугольника 0,36 м. Его длина в 2 раза больше ширины. Чему равна площадь прямоугольника?

1802. Найдите площадь поверхности и объём прямоугольного параллелепипеда, длина которого равна 12 см, ширина — 7,5 см, а высота — 10 см.

1803. Ширина прямоугольного параллелепипеда равна а см, длина на 5 см больше ширины, а высота равна 4 см. Составьте выражение для нахождения объёма параллелепипеда.

1804. Из деревянного бруска, длина которого 8 см, ширина 0,6 дм и высота 4 см, вырезали куб с ребром 0,04 м. Чему равен объём оставшейся части бруска?

1805. Какой объём занимает вода, налитая в мензурку (рис. 195)? Числа на шкале мензурки означают кубические сантиметры (миллилитры).

1806. Какие из квадратов на рисунке 196 равны?

1807. Среди фигур, обозначенных буквами, найдите равные фигуры (рис. 197).

1808. На рисунке 198 изображён куб. Назовите рёбра верхней и нижней граней, переднюю грань, вершины правой грани, равные рёбра.

1809. Пятиугольное поле ABCDM, план которого изображён на рисунке 199, разбито на четыре части отрезками АС и ВМ. Назовите эти части и найдите площадь поля, если площади треугольных частей равны 50 тыс. м2, 60 тыс. м2, 170 тыс. м2, а четырёхугольной — 380 тыс. м2.

1810. Дополните каждый треугольник, изображённый на рисунке 200, до прямоугольника и найдите площади треугольников.

1811. Каким свойством обладают точки окружности? Какой отрезок называют радиусом окружности? Диаметром окружности? Начертите окружность и проведите три радиуса этой окружности и её диаметр.

1812. Начертите окружность и проведите два её радиуса, образующие прямой угол.

1813. Начертите окружность с центром О и радиусом 4,7 см. Постройте два отрезка АВ и АС длиной 3 см так, чтобы точки А, В и С лежали на окружности.

1814. Запишите все трёхзначные числа, для записи которых используются только цифры 3 и 0.

1815. Выполните действия:

    а) (246 535 - 85 897) : 1306;
    б) 157 464 : (14 904 : 23);
    в) 1 600 731 : (5163 - 356);
    г) 515 453 : (261 924 : 156);
    д) (97 548 + 69 432) : (16 400 - 15 388);
    е) 1 067 154 : 4807 - 189 + 707 • 390.

1816. Составьте выражение и найдите его значение:

а) сумму 369 и 471 разделите на разность 872 и 842;
б) произведение чисел 38 и 48 разделите на сумму 39 и 57.

1817. Решите уравнение:

а) 13x + 12x + 15 = 240; б) (14x - 2x) : 17 = 312.

1818. Верно ли неравенство 398 + 24 • 87 < 3100?

1819. Подсчитайте, сколько печатных знаков:

а) на странице, если в ней 40 строк, а в строке 58 знаков (основной шрифт);
б) в строке, если на странице 48 строк, а всего на странице 3360 знаков (петит).

1820. Выделите целую часть числа:

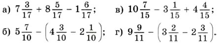
1821. Выполните действия:

1822. Из 15 гусей белыми были 7, а остальные — серыми. Какую часть всех гусей составляли серые гуси?

1823. Из 18 верблюдов в караване 5 были одногорбыми, а остальные — двугорбыми. Какую часть всех верблюдов каравана составляли двугорбые верблюды?

1824. Площадь кухни 8 м2, что составляет площади всей квартиры. Какова площадь квартиры?

1825. Выразите в метрах и дециметрах:

1826. Выразите в минутах:

1827. В одни из суток года продолжительность ночи на 20 мин меньше продолжительности дня. Сколько времени длится день в эти сутки?

1828. Начертите координатный луч, приняв за единичный отрезок длину 10 клеток тетради. Отметьте на этом луче точки: А(0), В(0,3), С(0,6), , E(1,2), М(1), N(0,2), , P(0,8), .

1829. Сравните числа:

1830. Из деревни вышел пешеход, а через 2 ч вслед за ним выехал велосипедист. Скорость велосипедиста 10 км/ч, а скорость пешехода 5 км/ч. Через сколько времени после своего выезда велосипедист догонит пешехода?

1831. Расстояние между двумя поездами, идущими навстречу друг другу, равно 8500 км. Через сколько часов поезда встретятся, если они будут идти без остановок: один со скоростью 80 км/ч, другой — 90 км/ч?

1832. С одной станции одновременно в противоположных направлениях вышли два поезда. Скорость одного из них 54 км/ч, а скорость другого на 18 км/ч больше. Через сколько часов расстояние между ними будет равно 504 км?

1833. Теплоход шёл 2,5 ч по течению реки и 3,2 ч против течения. Какой общий путь прошёл теплоход, если его собственная скорость 22 км/ч, а скорость течения 3 км/ч?

1834. Выполните действия:

    а) (5124 - 4267) • 23 - 5200 : 325;
    б) (13 412 + 124 956) : 46 - 73 • 36;
    в) 3,42 : 0,57 • (9,5 - 1,1) : ((4,8 - 1,6) • (3,1 + 0,05));
    г) (6,9 - 5,52 : 0,69 • 0,85) • ((5 - 0,125) : (3,7 + 0,05));
    д) 1,7 • (3,9658 + 16,0142) - 8,591 : (7,1 - 5,68);
    е) 14,1414 : (89,413 - 75,413) + 0,808 • (0,9163 + 0,0837).

1835. Упростите выражение:

а) 5а + 12,4 + 2,6 + 3,14 +1,4а + 0,4а + 2,4;
б) 13,4 + 6 + 5,6 + 8,2b + 7,28 + 1,7b + 2,3.

1836. Найдите значение выражения:

а) 19,1у + 121,4 + 0,9у при у = 48,5;
б) 5,6m + 8,4m + 186,4 при m = 35,5.

1837. В пяти маленьких и двух больших коробках 54 цветных карандаша, а в трёх маленьких и двух больших коробках 42 карандаша. Сколько карандашей в одной маленькой и сколько в одной большой коробке?

1838. Длина прямоугольника в 5 раз больше его ширины. Найдите стороны прямоугольника, если его периметр 1212 см.

1839. В одной бочке было в 3 раза больше бензина, чем в другой. Когда в первую налили ещё 46 л, а во вторую 18 л, то в двух бочках стало 184 л бензина. Сколько литров бензина было в каждой бочке первоначально?

1840. Площадь земли, засеянной пшеницей, в 6 раз больше площади, засеянной ячменём, а площадь, засеянная рожью, в 3 раза меньше площади, засеянной пшеницей. Сколько гектаров земли засеяно каждой культурой, если рожью засеяно на 120 га больше, чем ячменём?

1841. В зрительном зале кинотеатра 16 рядов, и в каждом ряду 24 места. Сколько денег выручит кинотеатр за 3 сеанса, если цена билета т р. и на эти сеансы все билеты будут проданы?

1842. Измерьте углы АОВ, ВОС, DMN, NME (рис. 201). Какие из этих углов равны?

1843. Постройте угол АОВ в 140° и проведите луч ОМ так, чтобы он разделил угол АОВ на два угла, один из которых на 40° больше другого.

1844. Найдите объём прямоугольного параллелепипеда, если его длина 2,3 см, ширина 1,4 см, а высота 0,5 см.

1845. Длина прямоугольного параллелепипеда равна а см, ширина — на 2 см меньше длины, а высота равна 5 см. Составьте выражение для нахождения объёма этого параллелепипеда.

1846. Вычислите в арах площадь участка, изображённого на рисунке 202.

1847. Начертите окружность и постройте два радиуса этой окружности так, чтобы угол между ними был равен 130°.

1848. Начертите отрезок МР, длина которого 4 см, и найдите две точки, удалённые от концов отрезка на 3 см.

1849. Расшифруйте надпись на крышке шкатулки, указывающую путь к тайнам математики:

<<< К началу      Решенния >>>

 

 

???????@Mail.ru