Главная >> Домашние работы к учебнику Виленкина. Математика 5 класс

Вопросы и задачи на повторение. Домашние работы

1711. а) 1; 2; 100; 10000;

1,5; 0,001; г) 5,2; 18,5; 100,01; 0,0001.

1712. 18; 1; 105 — натуральные числа.

1713. 6.

1714. * * *40 - * * *04 = 36.

1715. Нет, если шестизначное число оканчивается на 0.

1716. Сначала деления — слева направо, а затем сложеия — слева направо.

1717. а) 2,5, 1,2, 0,48, 0,8; б) 0,6, 0,84, 0,9, 0,5; в) 0,01, 0,38, 0,2, 1,6; г) 3,5, 0,35, 1,4, 2,44; д) 1,4, 4,2, 3,9, 6; е) 0,7, 10,5, 2,1, 7; ж) 6,6, 0,6, 7,8, 5,05; з) 6,8, 34, 3,5, 0,35.

1718. 1) 5555 + (82 320 : 84 - 693) • 66 = 5555 + (980 - 693) • 66 = 5555 + 287 • 66 - 555 + 18 942 = 24497;
2) 32 087 - 87 • (67 + 62 524 : 308) = 32 087 - 87 • (67 + 203) = 32 087 - 87 • 270 = 32 087 - 23 490 = 8597;
3) 467915 + 137865 : (31353 - 48 • 609) = 467915 + 137865 : (31353 - 29232) = 467915 + 137865 : 2121 = 467915 + 65 = 467980;
4) 51003 - (4968 + 709 - 52) + 203 = 51003 - (4968 + 36 868) + 203 = 51003 - 41 836 + 203 = 9167 + 203 = 9370;
5) 612 228+(53 007 - 52 275 : 615) = 612 228 + (53 007 - 85) - 612 228 + 52 922 = 665150;
6) 343 • (324 378 : 54-4862) + 777 = 343 • (6007-4862) + 777 = 343 • 1145 + 777 = 392 735 + 777 = 393 512;
7) 18 408 : (268 • 75-19 746) + 959 - 18 408 : (20100 - 19 746) + 959 = 18408 : 354 + 959 = 52 + 959 - 1011;
8) (86 • 217 + 275116) : 859 + 279569 = (18662 + 275116) : 859 + 279569 = 293778 : 859 + 279569 = 342 + 279569 = 279911.

1719. з) a + b = b + x; (a + b) + с = a + (b + с) б) а - (b + с) = а - b - с; а - (b -с) = а - b + с; в) а • b = b • а; (аb)с = а(bс); (а + b)с = ас + bс; (а - b)с = ас - bс.

1720. а) если второе число равно 0; б) если вычитаемое равно 0, уменьшаемое равно вычитаемому;
в) если второй множитель равен 1; если хотя бы один из множителей равен 0; г) если делитель равен 1. Если делимое равно 0, а делитель не равен 0. Если делимое равно делителю, кроме случая, когда они оба равны 0.

1721. а) 27450 = 89 • 308 + 38; б) 30394 = 307 • 99 + 1.

1722. Так как 5 < 7, то в остатке также будет 5, а неполное частное будет равно 12.

1723. а) 85 + 203x + 102x + 9 = 305x + 176; при х = 76305 • 76 + 176 = 23356; при х = 201305 • 201 + 176 = 61481; б) 79у - (23у - 15у) = 79у - 23у + 15у = 71y; при у = 1571 • 15 = 1065; при у = 30971 • 309 = 21939.

1724. Правильной называется дробь у которой числитель меньше знаменателя. Неправильной называется дробь у которой числитель больше или равен знаменателю.

1728. 4! = 1 • 2 • 3 • 4 = 24 способами.

1734. Выполните упражнение самостоятельно.

1735. а) 67(3,2), б) 67(2,8), в) 67(3) г) 67(2,99), д) C(0,85).

1736. а) А правее В; б) А и В одна и та же точка; в) A левее В.

1737. а) пятизначное всегда больше четырехзначного; б) то число, которое начинается на 7 всегда больше того, что начинается на 5; в) натуральное число всегда больше, чем 0; г) из двух обыкновенных дробей с одинаковыми знаменателями больше то, у которого больше числитель; д) из двух десятичных дробей с разными целыми частями больше то, у которой больше целая часть; е) из двух десятичных дробей с одинаковыми целыми частями больше та, у которой больше дробная часть.

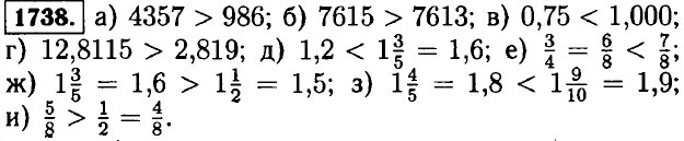
1739. а) 1900 ≈ 2000; 23100 ≈ 23000; б) 0,6 ≈ 1; 0,01 ≈ 0; в) 0,052 ≈ 0,05; 10,602 ≈ 10,60.

1740. Для нахождения среднего арифметического нескольких чисел нужно сумму этих чисел разделить на количество этих чисел.
Средняя скорость равна частному от деления пройденного пути на время.

1741.1 а) 5, 0, 0, 3,15; б) 6, 1, 0,25, 6,25; в) 4,8, 3,6, 3, 4,2; г) 3,6, 4,8, 0,12, 6; д) 9, 4,2, 6, 0,06; е) 3,8, 1,6, 2, 20; ж) 6,3, 7, 0,14, 0,8; з) 9, 1,8, 3,6, 6.

1742.1 а) 360 км; б) 180 км; в) 180 км; г) 300 км; д) 180 : 2 = 90 км/ч.

1744. а) числители складываются (вычитаются), а знаменатель остается тем же; б) как натуральные числа, с учётом запятой; в) дроби умножаются как натуральные числа, с учётом запятой; г) запятая сдвигается вправо на 1; 2; 3 знака и т. д.; д) дробь делится на число, только в частном запятая сдвигается влево на число знаков после запятой в делимом; е) число делится на дробь, только в частном запятая сдвигается вправо на число знаков после запятой в делителе; ж) в дроби запятая сдвигается влево на 1; 2; 3 знака и т. д.; з) в дроби запятая сдвигается влево на 1; 2; 3 знака и т. д.; и) в дроби запятая сдвигается вправо на 1; 2; 3 знака и т. д.

1745. а) 427051 : 839 - 390912 : 768 + 252000 : 1260 + 249249 : 249 - 509 - 509 + 200 + 1001 = 1201;
б) 917580 : (194 + 25 • 37) - 386 = 917580 : (194 + 925) - 386 = 917580 : 1119 - 386 = 820 - 386 = 434;
в) (23,79 : 7,8 - 6,8 : 17) • 3,04 - 2,04 • 0,85 = (3,05 - 0,4) • 3,04 - 1,734 = 2,65 • 3,04 - 1,734 = 8,056 - 1,734 - 6,322;
г) (15,36 - 4,36 • (20,74 : 6,8 - 7,6 : 191)) • 0,25 = (15,36 - 4,36 • (3,05 - 0,4) • 0,25 = (15,36 - 4,36 • 2,65) • 0,25 = (15,36 - 11,55) • 0,25 = 3,806 • 0,25 = 0,9515;
д) ((3,2 + 0,32) : 0,1 - (50 - 7,2) • 0,1) • 100 = (3,52 : 0,1 - 42,8 • 0,1) • 100 = (35,2 - 4,28) -100 = 30,92 • 100 = 3092;
е) ((4,3 - 1,08) : 0,1 + (40 - 8,4) • 0,1) • 100 = (3,22 : 0,1 + 31,6 • 0,1) • 100 = (32,2 + 3,16) • 100 = 35,36 • 100 = 3536;

1746. а) 8 • (1,4х + 13,6y) + 13 • (0,8x - 0,6у) = 8 • 1,4х + 8 • 13,6у + 13 • 0,8х - 13 • 0,6у = 11,2х + 10,4x + 108,8у - 7,8у = 21,6x + 101у, при х = 1, у = 1 ⇒ 21,6 • 1 + 101 • 1 = 21,6 + 101 = 122,6; б) 3 • (2,9р - 1,9т) + 2 • (2,3р + 0,7m) = 3 • 2,9р - 3 • 1,9m + 2 • 2,3р + 2 • 0,7m = 8,7р - 5,7m + 4,6р + 1,4m = 13,Зр - 4,3m; при р = 0,1, m = 0 ⇒ 13,3 • 0,1 - 4,3 • 0 = 1,33.

1747. За один раз машина с двмя прицепами может перевезти 4,8 + 2,7 • 2 = 4,8 + 5,4 = 10,2 т. Тогда для перевозки 51 т зерна потребуется 51 : 10,2 = 5 поездок.

1748. Сначала завод изготавливал 560 : 14 = 40 машин в день, затем 20 - 14 = 6 дней он изготавливал по 40 + 5 = 45 машин в день. Значит за 20 дней завод изготовил 560 + 45 • 6 = 830 машин.

1749. Сейчас отец старше сына на 40 - 5 = 35 лет. Через два года отцу 40 + 2 = 42 года, сыну 5 + 2 = 7 лет. Значит отец будет старше сына в 42 : 7 = б раз.

1750. Команду можно составить 7 • 6 • 5 = 210 способами.

1751. а) из суммы вычитается известные слагаемые; б) к разности прибавляется вычитаемое; в) из уменьшаемого вычитается разность; г) произведение делится на известный множитель; д) делитель умножается на частное; е) делимое делится на частное.

1752. а) 22х + х - 10 = 59 ⇒ 23х = 59 + 10 ⇒ х = 69 : 23 = 3;
б) 14у - 2у + 76 = 100 ⇒ 12у = 100 - 76 ⇒ у = 24 : 12 = 2;
в) (7а - 2а) • 8 = 80 ⇒ 5а = 80 : 8 = 10 ⇒ а = 10 : 5 = 2;
г) (156 + b) : 4 = 3 ⇒ 16b = 3 • 4 = 12 ⇒ b = 12 : 16 = 0,75;
д) (0,87m - 0,66m) • 10 : 2 : 3 = 0 ⇒ 0,87m - 0,66m = 0 ⇒ m = 0;
е) 10 • (1,37k - 0,12k) : 5 : 8 = 0 ⇒ 1,37k - 0,12k = 0 ⇒ k = 0.

1753. В первом и втором пакетах яблок поровну, а слив во втором на 5 больше, значит, 5 слив весят 0,6 - 0,5 = 0,1 кг, тогда одна слива весит 0,1 : 5 = 0,02 кг или 20 г. 3 яблока весят 0,5 - 0,02 - 10 = = 0,3 кг. Значит, одно яблоко весит 0,3 : 3 = 0,1 кг или 100 г.

1754. Масса 1 дм3 стали равна 23,4 : 3 = 7,8 кг. Тогда 4 дм3 стали весят 7,8 • 4 = 31,2 кг. Значит, 4 дм3 стали тяжелее 4 дм3 дерева на 31,2 - 2,8 = 28,4 кг.

1755. Пусть было х мужчин, тогда женщин было Зх. Составим и решим уравнение: х + Зх - 2 - 7 + 4 + 1 = 36 ⇒ 4х = 40 ⇒ х = 10, женщин было 3 • 10 = 30.

1756. Пусть масса слоненка х, тогда масса слонихи 5х. Составим и решим уравнение: х + 5х = 7,2 ⇒ 6х = 7,2 ⇒ х = 7,2 : 6 = 1,2 т.

1757. Пусть Сене х лет, тогда: 3х - 17 = 16 ⇒ Зх = 33 ⇒ х = 11.

1758. Пусть Кате х лет, тонгда: (х + 11) : 6 = 4 ⇒ х + 11 = 4 • 6; х = 24 - 11 = 13.

1759. Пусть ночь длиться х мин, тогда день длиться х + 40 мин, а всего 24 • 60 = 1440 мин. Составим и решим уравнение: х + (х + 40) = 1440 ⇒ 2х = 1440 - 40 ⇒ х = 1400 : 2 = 700 мин = 11 ч 40 мин.

1760. Пусть прогулка у девочки длилась х минут, тогда чтение х : 3 мин. Составим и решим уравнение: х - х : 3 = 40 ⇒ 2х = 40 • 3 ⇒ х = 120 : 2 = 60 мин = 1 час.

1761. Процентом называется одна сотая часть. Чтобы найти 1% от числа, нужно число разделить на 100. Чтобы найти 5 процентов от числа, нужно число разделить на 100 и умножить на 5.

1762. Пусть в палатку отправили х т, тогда в магазин х + 1,28, а всего в палатку и магазин 3,2 : 100 • 80 = 2,56 т. Составим и решим уравнение х + (х + 1,28) = 2,56 ⇒ 2х = 2,56 — 1,28 ⇒ х = 1,28 : 2 = 0,64 т = 640 кг.

1763. На складе осталось 100 - (17 + 18 + 5) = 60% дров. Значит на складе было 6000 : 60 • 100 = 10 000 м3. В первый день продали: 10000 : 100 • 17 = 1700 м3.

1764. Пересекаются: FE и NP, FE и RQ, XY и KM, XY и LH, XY и AB, ST и KM, AB и KM, KM и NP, NP и RQ. Окружность пересекают: NP, RQ, LH, AB, KM.

1765. Выполните задание самостоятельно.

1766. а) из двух отрезков больше тот, у которого больше длина; б) из двух углов больше тот, у которого больше градусная мера.

1767. Отрезки длиной 3 см можно отложить влево 1, а вправо любое количество; длиной 7 см — влево неодного, а вправо любое количество.

1768. a) BA = DC; б) АС > СВ; в) АС = BD; г) AD > ВС.

1769. MN = MD + DC + CN = (MC - DC) + DC + DN - DC = МС + DN - DC = 6 + 5 - 2 = 9 см.

1770. PABCDE = AB + ВС + CD + DE + AE = 6,4 + 5 + 6,3 + 5,8 + 3 = 26,5 см. ABCDE — пятиугольник.

1771. а) линейки; б) транспортира.
Длина измеряется в миллиметрах, сантиметрах, дециметрах, метрах и километрах. Углы измеряется в градусах.

1772. ∠BCE < 90° — острый угол, 90° < ∠DAK < 180° — тупой угол, ∠Р = 90° — прямой угол, ∠M = 180° — развернутый угол. Угол в 1° составляет щ часть развернутого угла.

1773. Лучь ОB называется биссектрисой угла МОК.

1774. Величина угла ∠D = 130°.

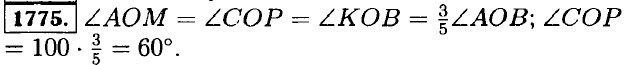
1776. ∠АОВ + ∠DOB = ∠AOD; ∠COD + ∠АОС = ∠AOD; ∠АОВ = ∠AOD - ∠DOB; ∠COD = ∠AOD - ∠АОС. Так как ∠DOB = ∠АОС ⇒ ∠АОВ - ∠COD.

1777. ∠АОВ = ∠COD = 180°; ∠COD = ∠АОС + ∠AOD; ∠AOB = ∠AOD + ∠BOD; ∠AOD + ∠AOC = ∠AOD + ∠BOD; ∠AOC = ∠BOD + ∠AOD - ∠AOD; ∠АОС = ∠BOD.

1778. a) 30° • 2 = 60°; 6) 5 • 30° = 150°; в) 1,5 • 30° = 45°; г) 3,5 • 3° = 10,5°; д) 4,5 • 30° = 135°.

1779. a) 2, 20, 19,2, 0,64; б) 1,4, 4,2, 0,7, 0,93; в) 7,2, 10, 3,6, 4,3; г) 75, 1,5, 0,3, 0,12; д) 5,7, 1,9, 6,3, 7; е) 0,42, 0,7, 3,5, 1; ж) 0,4, 4, 1, 0,05; з) 0,5, 0,3, 4, 0,4.

1780. Пусть х скорость Паши, тогда он догонял Борю со скоростью х - 0,2 — скорость сближения. Составим и решим уравнение: (х - 0,2) • 9 = 0,36 ⇒ х - 0,2 = 0,04 ⇒ х = 0,240 км/мин.

1781. Пусть х — скорость Коли, тогда 2х — скорость Сережи. Составим и решим уравнение: (2х - х) • 6 = 840 ⇒ х = 840 : 6 = 140 м/мин.

1782. Пусть скорость грузовой машины — х, тогда скорость легковой — 2х. Составим и решим уравнение: (х + 2х) • 4 = 480 ⇒ Зх = 480 : 4 = 120 ⇒ х = = 120 : 3 = 40 км/ч — скорость грузовой машины, а скорость легковой машины 2х = 40 • 2 = 80 км/ч.

1783. Пусть х — скорость первого поезда, тогда х + 5 — скорость второго поезда. Составим и решим уравнение: х • 3 + (х + 5) • 3 = 495 ⇒ 3х + 3х = 495 - 15 ⇒ х = 480 : 6 = 80 км/ч — скорость первого поезда, а х + 5 = 80 + 5 = 85 км/ч — скорость второго поезда.

1784. Пусть х — скорость велосипедиста, он ехал 3 + 2 = 5 часов. Составим и решим уравнение: 5x = 144 - 2 • 42 = 144 - 84 - 60 ⇒ x = 60 : 5 = 12 км/ч.

1785. Пусть х — скорость второго пешехода, тогда скорость расхождения пешеходов x + 4 км/ч. Так как они были в пути 3 ч имеем: (х + 4) • 3 = 21 ⇒ х + 4 = 7 ⇒ х = 7 - 4 = 3 км/ч.

1786. Пусть первый велосипедист ехал х часов, тогда второй ехал х - 1 ч. Составим и решим уравнение: 12x - 14(x - 1) = 64 ⇒ 12x + 14x - 14 = 64 ⇒ 26x = 64 + 14 = 78 ⇒ х = 78 : 26 = 3 ч.

1787. Катер прошёл (15,3 + 2,2) • 3 + (15,3 - 2,2) • 4 = 104,9 км.

1788. Скорость теплохода по течению 145 : 6 = 29 км/ч, а его скорость против течения 29 - 2 • 4,5 = 20 км/ч. На обратный путь он затратил 145 : 20 = 7,25 ч = 7 ч 15 мин.

1789. Выполните упражнение самостоятельно.

1790. 1 га = 100 а, 1 а = 100 м2, 1 дм2 = 100 см2, 1 м2 = 10000 см2.

1791. 1 мм2 = 0,01 см2, 1 см2 = 0,0001 м2, 1 м2 = 0,0001 га, 1 га = 0,01 км2.

<<< К началу   Решенния (окончание) >>>

 

 

???????@Mail.ru