Главная >> Математика 5 класс. Виленкин

§ 5. Обыкновенные дроби

24. Сравнение дробей (продолжение)

944. Единичный отрезок равен длине 6 клеток тетради. Отметьте на координатном луче точки с координатами Какая из этих точек левее всех расположена на луче, а какая правее всех?

945. Расставьте в порядке возрастания дроби:

Расставьте эти дроби в порядке убывания.

946. Замените звёздочку знаком < или > в записях:

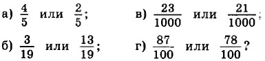
947. Какая из дробей больше:

948. Какая из точек лежит левее на координатном луче:

949. Вычислите устно:

950. Прочитайте дроби:

Назовите числитель и знаменатель.

951. На координатном луче отмечены следующие точки:

Есть ли среди них совпадающие?

952. Какую часть на рисунке 120 составляет:

    а) треугольник АВО от четырёхугольника АВСО;
    б) треугольник АВО от четырёхугольника ABCD;
    в) четырёхугольник АВСО от четырёхугольника ABCD;
    г) четырёхугольник АВСО от шестиугольника ABCDEK?

953. Попробуйте найти самый короткий путь по поверхности куба от точки А к точке В (рис. 121). Сколько таких путей можно указать?

954. Выполните деление с остатком:

а) 5 на 2; б) 100 на 30; в) 29 на 9; г) 100 на 11.

955. Какую долю составляют:

    а) сутки от года;       в) дециметр от метра;
    б) сутки от недели;    г) 1 см3 от литра?

Подумайте, почему 1 см3 называют ещё и миллилитром (1 мл).

956. Объём кувшина 5 л. В него налили а л воды. Какая часть объёма кувшина занята водой? Дайте ответ при а = 1; 2; 3; 4.

957. Какую часть периметра квадрата составляет длина одной стороны? длина трёх сторон?

958. Продолжительность урока 45 мин. На решение задачи ушло 7 мин. Какая часть урока ушла на решение задачи?

<<< К началу      Окончание >>>

 

 

???????@Mail.ru