Главная >> Математика 5 класс. Виленкин

§ 5. Обыкновенные дроби

24. Сравнение дробей

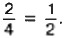
Разделим круг на 4 равные части (рис. 116). Две такие части вместе составляют половину круга. Значит, круга равны круга. Поэтому говорят, что дроби равны, и пишут:

На координатном луче равные дроби соответствуют одной и той же точке (рис. 117).

Две равные дроби обозначают одно и то же дробное число.

Дробные числа можно сравнивать, складывать, вычитать, умножать и делить. Для краткости обычно говорят о сравнении, сложении, вычитании, умножении и делении дробей.

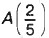
Пирог разрезали на 5 долей и 2 доли положили на одну тарелку, а 3 доли — на другую (рис. 118). Две доли составляют пирога, а три доли пирога. Так как 2 доли меньше, чем 3 такие же доли, то

Из двух дробей с одинаковыми знаменателями меньше та, у которой меньше числитель, и больше та, у которой больше числитель.

На рисунке 119 точка лежит слева от точки

Точка на координатном луче, имеющая меньшую координату, лежит слева от точки, имеющей бдльшую координату.

940. Объясните с помощью рисунка, почему

941. Начертите в тетради отрезок длиной в 18 клеток. С помощью этого отрезка объясните, почему:

942. Единичный отрезок равен 12 клеткам. Отметьте на координатном луче точки Объясните результат.

943. Отметьте на координатном луче точки, координаты которых равны:

Продолжение >>>

 

 

???????@Mail.ru