Главная >> ГДЗ к учебнику Виленкина. Математика 6 класс

§ 2. Сложение и вычитание дробей с разными знаменателями

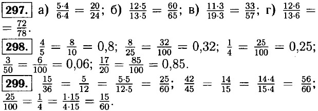
Приведение дробей к общему знаменателю. ГДЗ

291. За 5 секунд жук проползёт б • 5 = 30 см; за 5 секунд расстояние между жуком и гусеницей увеличилось на: 100 - 60 = 40 см; за 5 секунд гусеница проползла: 40 - 30 = 10 см; скорость гусеницы: 10 : 5 = 2 см/с.

292. 15 мин = 15 - 60 = 900 сек. За 15 минут комета пролетит: 46 • 900 км, а космический корабль за тоже время: 34 • 900 км. За 15 минут до встречи расстояние между кораблём и кометой было равно: 46 • 900 + 34 • 900 = (46 + 34) • 900 = 80 • 900 = 72 000 км.

293. Одну из цифр 3, 5, 6, 8 можно поставить на первое место. 0, 3, 5, 6, 8 — можно поставить на второе место. На третье и четвёртое места одну из неиспользованных цифр. На пятое место можно поставить — 0, б, 8. Всего можно поставить 4 • 5 • 5 • 5 • 3 = 1500 чисел.
Да, есть кратные трём, например кратные девяти — 3366.

296. 1) 111 - ((0,9744 : 0,24 + 1,02) • 2,5 - 2,75) = 111 - ((4,06 + 1,02) • 2,5 - 2,75) - 111 - (5,08 • 2,5 - 2,75) = 11 - (12,7 - 2,75) - 111 - 9,95 = 101,05;
2) 200 - ((9,08 - 2,6828 : 0,38) • 8,5 + 0,84) = 200 - ((9,08 - 7,06) • 8,5 + 0,84) = 200 - (2,02 • 8,5 + 0,84) = 200 - (17,17 + 0,84) = 200 - 18,01 = 181,99.

301. Через х км/ч обозначим скорость пешехода, тогда скорость велосипедиста будет 4х км/ч. За 2,5 часа пешеход и велосипедист преодолели расстояние в 40 км. Составим уравнение: 2,5 • х + 2,5 • 4х = 40; 12,5x = 40; х = 3,2 км/ч — скорость пешехода. Скорость велосипедиста: 4х = 4 • 3,2 = 12,8 км/ч.

302. Через х обозначим скорость второго электропоезда, тогда скорость первого электропоезда будет х + 5 км/ч. За 2 часа оба электропоезда преодолели расстояние 210 км. Составим уравнение: 2 • х + 2 • (х + 5) = 210; 2х + 2х + 10 = 210; 4х = 200; х = 50 км/ч — скорость первого электропоезда. Скорость второго электропоезда: х + 5 = 55 км/ч.

303. а) 62,3 + (50,1 - 3,3 • (96,96 : 9,6)) • 1,8 = 62,3 + (50,1 - 3,3 • 10,1) • 1,8 = 62,3 + (50,1 - 33,33) • 1,8 = 62,3 + 16,77 • 1,8 = 62,3 + 30,186 = 92,486; б) 51,6 + (70,2 - 4,4 • (73,73 : 7,3) • 1,6 = 51,6 + (70,2 - 4,4 • 10,1) • 1,6 = 51,6 + 25,76 • 1,6 = 51,6 + 41,216 = 92,816.

<<< К началу

 

 

???????@Mail.ru