Главная >> Математика 6 класс с ГДЗ. Виленкин

§ 2. Сложение и вычитание дробей с разными знаменателями

11. Сравнение, сложение и вычитание дробей с разными знаменателями

Мы умеем сравнивать, складывать и вычитать дроби с одинаковыми знаменателями.

  • Чтобы сравнить (сложить, вычесть) дроби с разными знаменателями, надо: 1) привести данные дроби к наименьшему общему знаменателю; 2) сравнить (сложить, вычесть) полученные дроби.

Пример 1. Сравним дроби

Р е ш е н и е . Приведём дроби к общему знаменателю 15.

Получим

Так как

Пример 2. Найдём значение суммы

Р е ш е н и е .

Пример 3. Найдём значение разности

Р е ш е н и е .

Для сложения и вычитания дробей верны изученные ранее свойства этих действий. Они иногда помогают упрощать вычисления.

Пример 4. Найдем значение выражения:

Р е ш е н и е . Сгруппируем дроби, имеющие одинаковые знаменатели:

Пример 5. Найдём значение выражения:

Р е ш е н и е . Используя свойство вычитания суммы из числа, получим:


Как сравнить две дроби с разными знаменателями?

Расскажите, как сложить дроби с разными знаменателями.

Расскажите, как выполнить вычитание дробей с разными знаменателями.


304. Сравните дроби:

305. Что меньше:

306. Что больше:

307. Расположите в порядке возрастания дроби:

308. Докажите неравенство:

309. Объясните, не приводя дроби к общему знаменателю, почему Сформулируите правило сравнения двух дробей с одинаковыми числителями и разными знаменателями. Используя это правило, сравните:

310. Запишите все дроби с числителем 2, большие, чем

311. Сравните промежутки времени двумя способами:

1) выразив их в минутах;

2) приведя дроби к наименьшему общему знаменателю:

312. Запишите все дроби со знаменателем 5, большие, чем и меньшие, чем . Отметьте эти дроби на координатном луче.

313. Рисунки занимают книги, а таблицы книги. Что занимает больше места в книге: рисунки или таблицы?

314. 20 шагов папы составляют 16 м, а 10 моих шагов — 7 м. Чей шаг короче?

315. Через узкую трубу бассейн наполняется за 10 ч, а через широкую — за 4 ч. Какая труба даёт меньше воды: широкая за 3 ч или узкая за 7 ч?

316. Трёхметровое бревно распилили на 7 равных частей, а четырёхметровое — на 10. Части какого бревна длиннее?

317. Миша, Юра и Нина решали в классе одну и ту же задачу. Один из них затратил на решение урока, другой — урока, а третии — урока. Какую часть урока затратил на эту задачу каждый из них, если известно, что Нина решила задачу быстрее Миши, а Юра — быстрее Нины?

318. Начертите координатный луч, приняв отрезок длиной в 18 клеток тетради за единичный. Отметьте на этом луче точку Отложите вправо от точки А отрезок АС, равный единичного отрезка. Найдите координату точки С. Отложите от точки С влево отрезок CD, равный единичного отрезка. Найдите координату точки D. Как можно найти координаты точек С и D, не выполняя построений?

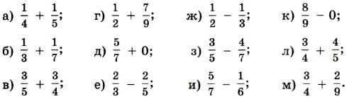
319. Выполните действие:

Продолжение >>>

 

 

???????@Mail.ru