Главная >> Математика 6 класс с ГДЗ. Виленкин

§ 4. Отношения и пропорции

20. Отношения (окончание)

742. Найдите пропущенные числа:

743. На сколько надо увеличить знаменатель дроби чтобы получить дробь

744. Выразите в процентах числа:

745. Половина от половины числа равна половине. Найдите это число.

746. Кто быстрее? Найдите в таблице последовательно все числа от 26 до 50:

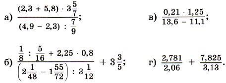
747. Найдите значение выражения:

748. На подкормку овощей и фруктовых деревьев израсходовано из имевшихся 18 ц удобрений. На подкормку овощей пошло израсходо ванных удобрений. Сколько центнеров удобрений израсходовано на подкормку овощей?

749. На окраску окон и дверей было истрачено 3,2 кг белил, что составляет всех белил, истраченных на ремонт. А на ремонт было истрачено всех купленных белил. Сколько килограммов белил было куплено?

750. Найдите объём прямоугольного параллелепипеда, если:

1) его ширина 2,5 см и составляет высоты, а длина в 3,4 раза больше высоты;
2) его высота 3,5 см и составляет 0,7 ширины, а длина в 2,4 раза больше ширины.

751. Двое мальчиков бросали баскетбольный мяч в корзину. Один мальчик сделал 20 бросков и попал в корзину 13 раз, а другой сделал 26 бросков и попал в корзину 15 раз. Найдите для каждого мальчика, какую часть составляли попадания от числа бросков. Чей результат лучше?

752. Крутизной лестницы называют отношение высоты ступеньки к её глубине. Чему равна крутизна лестницы, если высота ступеньки 18 см, а глубина 30 см?

753. Автобус в первый час прошёл 30 км, во второй — 24 км, а в третий — 42 км. Какую часть всего пути прошёл автобус в каждый час? Какую часть пути, оставшуюся после первого часа движения, прошёл автобус во второй час и какую — в третий час?

754. Для варенья на 3,5 кг ягод было взято 4,2 кг сахарного песка. В каком отношении по массе были взяты ягоды и сахарный песок?

755. В сосуд налили 240 г воды и положили 10 г соли. Найдите процентное содержание соли в растворе. Через некоторое время 50 г воды испарилось. Каким стало процентное содержание соли в растворе?

756. Комбайнер намолотил 76 т зерна, превысив задание на 12 т. На сколько процентов комбайнер перевыполнил задание?

757. На складе были пшеница, овёс и кукуруза, причём пшеница составляла 64%, овёс — 16% всего количества зерна. В товарный состав загрузили всю пшеницу и всю кукурузу. Какой процент погруженного зерна составляла пшеница? Какой процент погруженного зерна составляла бы пшеница, если бы вместо кукурузы погрузили овёс?

758. Длина прямоугольника а см, а ширина b см. Длина другого прямоугольника m см, а ширина n см. Найдите отношение площади первого прямоугольника к площади второго. Найдите значение получившегося выражения, если:

а) а = 9, b = 2, m = 8, n = 3;
б) а = 6,4, b = 0,2, m = 3,2, n = 0,5.

759. Найдите значение выражения:

<<< К началу      Решенния >>>

 

 

???????@Mail.ru