Главная >> Домашние работы к учебнику Виленкина. Математика 6 класс

§ 4. Отношения и пропорции

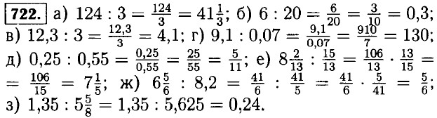
Отношения. Домашние работы

<<< К началу   Решенния (окончание) >>>

 

 

???????@Mail.ru