Главная >> Математика 6 класс с ГДЗ. Виленкин

§ 5. Положительные и отрицательные числа

27. Противоположные числа (окончание)

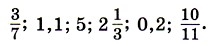
934. Вычислите устно:

935. Между какими целыми числами на координатной прямой расположено число:

936. Найдите числа, которые на координатной прямой находятся на расстоянии: а) 6 единиц от числа -9; б) 10 единиц от числа 4; в) 10 единиц от числа -4; г) 100 единиц от числа 0.

937. Начертите координатную прямую, приняв за единичный отрезок длину 4 клеток тетради, и отметьте на этой прямой точки

939. Укажите пары взаимно обратных чисел:

940. Витя купил 2,4 кг моркови. Сколько моркови купил Коля, если известно, что он купил:

941. Решите задачу:

1) Кирпичный завод должен был изготовить для строительства Дворца культуры 270 тыс. штук кирпича. В первую неделю он выполнил задания, во вторую неделю он изготовил на 10% больше кирпичей, чем в первую неделю. Сколько тысяч штук кирпича осталось изготовить заводу?

2) Комбайнеры обмолотили за три дня 434 т зерна. В первый день они обмолотили этого количества, во второй день — на 10% меньше, чем в первый день, а в третий день — остальное зерно. Сколько тонн зерна обмолотили в третий день?

942. Ноты отличаются по длительности их звучания. Знаком о обозначают целую, ноту вдвое короче — половинную — четвертную — восьмую — шестнадцатую — Проверьте равенство длительностей:

Найдите недостающую ноту:

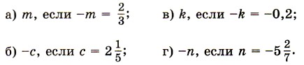
943. Какие числа противоположны числам:

944. Запишите все натуральные числа, меньшие 5, и числа, им противоположные.

945. Найдите значение:

946. Во второй день со склада выдали в 2 раза больше проволоки, чем в первый, а в третий — в 3 раза больше, чем в первый. Сколько килограммов проволоки выдали в эти три дня, если в первый день выдали на 30 кг меньше, чем в третий?

947. На поливных землях собирали с гектара 60,8 ц пшеницы. Замена старого сорта пшеницы новым даёт прибавку урожая на 25%. Сколько теперь пшеницы собирают с 23 га поливного поля?

948. Составьте по каждой схеме уравнение и решите его:

949. Найдите значение выражения:

<<< К началу      Решенния >>>

 

 

???????@Mail.ru