Главная >> Домашние работы к учебнику Виленкина. Математика 6 класс

§ 5. Положительные и отрицательные числа

Противоположные числа. Домашние

929. A(1); B(-5); С(-1,5).

930. а) положительное; б) нуль; в) отрицательное.

933. а) -7; -6; б) -2; -1; в) -1; 0; 1; г) -3; -2; -1; 0; 1; 2; 3; 4; д) 0; 1; 2; е) 3; 4; 5; ж) -7; -6; -5; з) -10; -9; -8; -7; -6; -5; -4.

936. а) -15; -3; б) -6; 14; в) -14; 6; г) -100; 100.

События произошли: а) 23 века назад; б) 26 веков назад; в) 17 веков назад; г) 24 века назад; д) 11 веков назад.

946. Пусть в первый день было выдано х кг проволоки, тогда во второй день было выдано 2 • х кг, в третий 3 • х кг. В первый день было выдано проволоки на 30 кг меньше, чем в третий день. Составим и решим уравнение: 3х - х = 30; 2х = 30; х = 15; 2х = 30; 3x = 45. За три дня было выдано: 15 + 30 + 45 = 90 кг проволоки.

947. Пшеница нового сорта даёт с одного гектара: 60,8 + 60,8 • 0,25 = 76 ц. С 23 га поливного поля колхоз теперь собирает: 76 • 23 = 1748 ц пшеницы.

948. а) 7,3x - 4,3 - 2,8x = 9,2 ⇒ 4,5x - 4,3 = 9,2 ⇒ 4,5x = 13,5 ⇒ х = 3; б) 6,2у + 2,9 - 3,4у = 8,5 ⇒ 2,8у + 2,9 = 8,5 ⇒ 2,8 у = 5,6 ⇒ у = 2.

<<< К началу

 

 

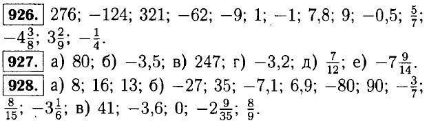
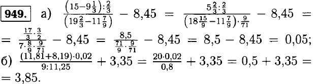
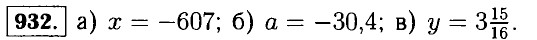
???????@Mail.ru