Главная >> Математика 6 класс с ГДЗ. Виленкин

§ 5. Положительные и отрицательные числа

28. Модуль числа

Расстояние до точки М(-6) от начала отсчёта О равно 6 единичным отрезкам (рис. 63). Число 6 называют модулем числа -6.

Пишут: |-6| =6.

  • Модулем числа а называют расстояние (в единичных отрезках) от начала координат до точки А (а).

Модуль числа 5 равен 5, так как точка В{5) удалена от начала отсчёта на 5 единичных отрезков.

Пишут: |5| =5.

Модуль числа 0 равен 0, так как точка с координатой 0 совпадает с началом отсчёта 0, т. е. удалена от неё на 0 единичных отрезков (см. рис. 63).

Пишут: |0| =0.

Модуль числа не может быть отрицательным. Для положительного числа и нуля он равен самому числу, а для отрицательного — противоположному числу. Противоположные числа имеют равные модули: |-а| = |а|.


Что называют модулем числа?

Как обозначают модуль числа?

Как найти модуль положительного числа или нуля?

Как найти модуль отрицательного числа?

Может ли модуль какого-нибудь числа быть отрицательным числом?


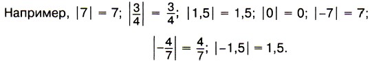
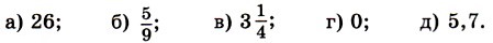
950. Найдите модуль каждого из чисел:

Напишите соответствующие равенства.

951. Найдите значение выражения |х|, если

952. Найдите расстояние (в единичных отрезках) от начала отсчёта до каждой из точек:

953. Найдите значение выражения:

954. Точка А лежит от начала отсчёта влево на 5,8 единицы, а точка В — вправо на 9,8 единицы. Чему равна координата каждой точки? Чему равен модуль каждой координаты?

955. Найдите:

а) отрицательное число, модуль которого равен

б) положительное число, модуль которого равен

956. Напишите все числа, имеющие модуль:

957. Известно, что |а| = 7. Чему равен |-а|?

Окончание >>>

 

 

???????@Mail.ru