Главная >> Математика 6 класс с ГДЗ. Виленкин

§ 6. Сложение и вычитание положительных и отрицательных чисел

33. Сложение чисел с разными знаками (продолжение)


Числа а и b имеют разные знаки. Какой знак будет иметь сумма этих чисел, если больший модуль имеет отрицательное число? если меньший модуль имеет отрицательное число? если больший модуль имеет положительное число? если меньший модуль имеет положительное число?

Сформулируйте правило сложения чисел с разными знаками.

Как ввести в микрокалькулятор отрицательное число?


1061. Число 6 изменили на -10. С какой стороны от начала отсчёта расположено получившееся число? На каком расстоянии от начала отсчёта оно находится? Чему равна сумма 6 и -10?

1062. Число 10 изменили на -6. С какой стороны от начала отсчёта расположено получившееся число? На каком расстоянии от начала отсчёта оно находится? Чему равна сумма 10 и -6?

1063. Число -10 изменили на 3. С какой стороны от начала отсчёта расположено получившееся число? На каком расстоянии от начала отсчёта оно находится? Чему равна сумма -10 и 3?

1064. Число -10 изменили на 15. С какой стороны от начала отсчёта расположено получившееся число? На каком расстоянии от начала отсчёта оно находится? Чему равна сумма -10 и 15?

1065. В первую половину дня температура изменилась на -4°С, а во вторую — на +12 °С. На сколько градусов изменилась температура в течение дня?

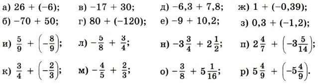
1066. Выполните сложение:

1067. Прибавьте:

а) к сумме -6 и -12 число 20;
б) к числу 2,6 сумму -1,8 и 5,2;
в) к сумме -10 и -1,3 сумму 5 и 8,7;
г) к сумме 11 и -6,5 сумму -3,2 и -6.

1068. Какое из чисел 8; 7,1; -7,1; -7; -0,5 является корнем уравнения -6 + х = -13,1?

1069. Угадайте корень уравнения и выполните проверку:

а) х + (-3) = -11;       в) m + (-12) = 2;
б) -5 + у = 15;       г) 3 + n = -10.

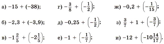
1070. Найдите значение выражения:

1071. Выполните действия с помощью микрокалькулятора:

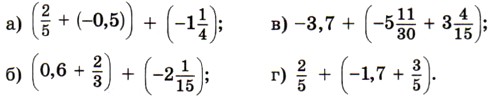
1072. Найдите значение суммы:

1073. Найдите значение выражения:

1074. Сколько целых чисел расположено между числами: а) 0 и 24; б) -12 и -3; в) -20 и 7?

1075. Представьте число -10 в виде суммы двух отрицательных слагаемых так, чтобы:

а) оба слагаемых были целыми числами;
б) оба слагаемых были десятичными дробями;
в) одно из слагаемых было правильной обыкновенной дробью.

<<< К началу      Окончание >>>

 

 

???????@Mail.ru