Главная >> Математика 6 класс с ГДЗ. Виленкин

§ 6. Сложение и вычитание положительных и отрицательных чисел

33. Сложение чисел с разными знаками (окончание)

1076. Каково расстояние (в единичных отрезках) между точками координатной прямой с координатами:

а) 0 и а;      в) -а и 0;
б) -а и а;      г) а и -3а?

1077. Радиусы географических параллелей земной поверхности, на которых расположены города Афины и Москва, соответственно равны 5040 км и 3580 км (рис. 87). На сколько параллель Москвы короче параллели Афин?

1078. Составьте уравнение для решения задачи: «Поле площадью 2,4 га разделили на два участка. Найдите площадь каждого участка, если известно, что один из участков:

1079. Решите задачу:.

1) В первый день путешественники проехали 240 км, во второй день 140 км, в третий день они проехали в 3 раза больше, чем во второй, а в четвёртый день они отдыхали. Сколько километров они проехали в пятый день, если за 5 дней они проезжали в среднем по 230 км в день?

2) Фермер с двумя сыновьями собранные яблоки поместили в 4 контейнера, в среднем по 135 кг в каждый. Фермер собрал 280 кг яблок, а младший сын — в 4 раза меньше. Сколько килограммов яблок собрал старший сын?

1080. Выполните действия:

1) (2,35 + 4,65) • 5,3 : (40 - 2,9);       2) (7,63 - 5,13) • 0,4 : (3,17 + 6,83).

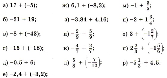
1081. Выполните сложение:

1082. Представьте в виде суммы двух равных слагаемых каждое из чисел:

1083. Найдите значение а + b, если:

1084. На одном этаже жилого дома было 8 квартир. Жилую площадь по 22,8 м2 имели 2 квартиры, по 16,2 м2 — 3 квартиры, по 34 м2 — 2 квартиры. Какую жилую площадь имела восьмая квартира, если на этом этаже в среднем на каждую квартиру приходилось по 24,7 м2 жилой площади?

1085. В составе товарного поезда было 42 вагона. Крытых вагонов было в 1,2 раза больше, чем платформ, а число цистерн составляло числа платформ. Сколько вагонов каждого вида было в составе поезда?

1086. Найдите значение выражения

<<< К началу      Решенния >>>

 

 

???????@Mail.ru