Главная >> Домашние работы к учебнику Виленкина. Математика 6 класс

§ 6. Сложение и вычитание положительных и отрицательных чисел

Сложение чисел с разными знаками. Домашние работы

1061. Число расположено слева от начала отсчёта, на расстоянии 4: 6 + (-10) = -4.

1062. Число расположено справа от начала отсчёта, на расстоянии 4; 10 + (-6) = 4.

1063. Число расположено слева от начала отсчёта, на расстоянии 7: -10 + 3 = -7.

1064. Число расположено справа от начала отсчёта, на расстоянии 5; -10 + 15 = 5.

1065. Температура в течение дня изменилась на: -4 + 12 = +8° С.

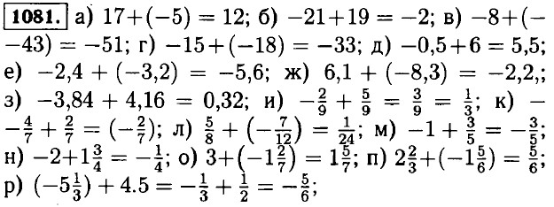
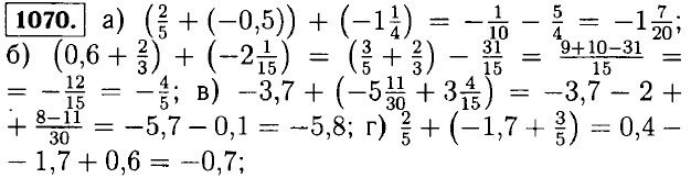
1067. а) (-6) + (-12) + 20 = -18 + 20 = 2; б) 2,6 + (-1,8) + 5,2 = 0,8 + 5,2 = 6; в) ((-10) + (-1,3)) + (5 + 8,7) = (-11,3) + 13,7 = 2,4; г) (11 + (-6,5) + ((-3,2) + (-6)) = 4,5 + (-9,2) = -4,7.

1068. -6 + х = -13,1 ⇒ х = 13.1 - (-6) = -7,1.

1069. а) х = -8 ⇒ (-8) + (-3) = -11; б) у = 20 ⇒ (-5) + 20 = -15; в) m = 14 ⇒ 14 + (-12) = 2; г) n = -13 ⇒ 3 + (-13) = -10.

1071. а) -15,5659; 6) -1,3843; в) 0,08216; г) 3,1439; д) -2,4776; е) -0,01417.

1074. а) 23; б) 8; в) 26.

1076. а) а; б) 2а; в) а; г) 4а.

1077. Длина параллели Москвы: 27π3580 км, а длина параллели Афин: 27г5040 км. Параллель Москвы короче на 27π(5040 - 3580) = 2 • 3,14 • 1460 = 9168,8 км.

1079. 1) Пусть х км — расстояние, которое путешественники проехали в пятый день. Если в среднем путешественники проезжали по 230 км в день, то за 5 дней они проехали 230 • 5 = 1150 км. Составим и решим уравнение: 240 + 140 + 140 • 3 + х = 1150 ⇒ х + 800 = 1150 ⇒ x = 350 км.
2) Всего было собрано яблок: 135 • 4 = 540 кг. Младший сын собрал: 280 : 4 = 70 кг. Старший сын собрал: 540 - 280 - 70 = 190 кг.

1080. 1) (2,35 + 4,65) • 5,3 : (40 - 2,9) = 7 • 5,3 : 37,1 = 1;
2) (7,63 - 5,13) • 0,4 : (3,17 + 6,83) = 2,5 • 0,4 : 10 = 1 : 10 = 0,1.

1084. Площадь всех восьми квартир равна: 24,7 • 8 м2. Площадь восьмой квартиры равна 24,7 • 8 - 22,8 • 2 - 16,2 • 3 - 34 • 2 = 197,6 - 45,6 - 48,6 - 68 = 197,6 - 162,2 = 35,4 м2.

<<< К началу

 

 

???????@Mail.ru