Главная >> Математика 6 класс с ГДЗ. Виленкин

§ 6. Сложение и вычитание положительных и отрицательных чисел

34. Вычитание (окончание)

1106. На пришкольном участке было собрано 360 кг овощей. Картофеля было собрано в 5 раз больше, чем свёклы, а капусты — на 80 кг больше, чем свёклы. Сколько килограммов каждой культуры было собрано?

1107. Решите задачу:

1) В трёх ящиках 21 кг гвоздей. В первом ящике в раза больше гвоздей, чем во втором. Масса гвоздей третьего ящика составляет массы гвоздей второго ящика. Сколько килограммов гвоздей было в каждом ящике?

2) В овощеводческом хозяйстве помидоры, огурцы и морковь занимали 560 га. Посевы моркови составляли площади, занятой под огурцами, а под огурцами занято площади, отведённой под помидоры. Как велика площадь, занятая в отдельности помидорами, огурцами и морковью?

1108. Выполните действия:

1) 40,1 - 4,06-(29,58 : 3,48) + 8,112 : 0,78;

2) 50,2 - 3,04 (45,22 : 4,76) + 9,202 : 0,86.

1109. Выполните действия:

1110. Найдите значение выражения (а + b) - с, если:

1111. Отметьте на координатной прямой точки А(-4) и В(9). Найдите расстояние между точками А и B в единичных отрезках.

1112. Найдите расстояние в единичных отрезках между точками:

1113. Найдите значение выражения:

1114. Заполните пустые места таблицы:

1115. Для учащихся было куплено 70 билетов в кукольный театр. В партер было куплено билетов в 1,5 раза больше, чем на балкон и бельэтаж вместе. Число билетов на балкон составило 0,4 от числа билетов в бельэтаж. Сколько билетов каждого вида было куплено?

1116. В альбоме 1105 марок, число иностранных марок составило 30% от числа российских марок. Сколько иностранных и сколько российских марок было в альбоме?

1117. В доме 300 квартир. Однокомнатные квартиры составляют 28% всех квартир дома, а остальные квартиры — двухкомнатные и трёхкомнатные, причём двухкомнатных квартир в 1,7 раза больше, чем трёхкомнатных. Сколько квартир каждого вида в доме?

<<< К началу      Решенния >>>

 

 

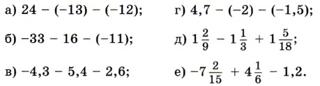
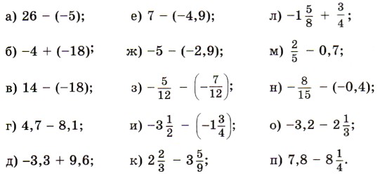
???????@Mail.ru