Главная >> Домашние работы к учебнику Виленкина. Математика 6 класс

§ 6. Сложение и вычитание положительных и отрицательных чисел

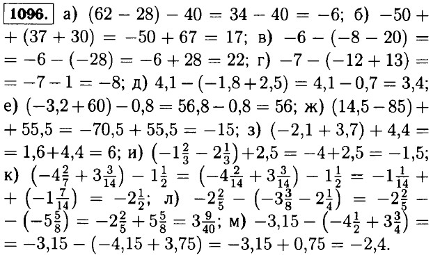
Вычитание. Домашние работы

1087. Температура утром была равна: -8 - (-12) = 4°С.

1088. Температура воздуха изменилась за день на: 5 - (-2) = 7°С.

1089. Если х = 25°С, то х - 12 = 25 - 12 = 25 + (-12) = 13°С; если х = 12, то х - 12 = 12 - 12 = 12 + (-12) = 0°С; если х = 6°С, то х - 12 = 6 - 12 = 6 + (-12) = -6°С; если х = 0°С, то х - 12 = 0 - 12 = 0 + (-12) = -12°С.

1093. а) -28 - (32) = -28 + 32 = 4; б) -46 - 30 = -46 + (-30) = -76; в) 50 - (-24) = 50 + 24 = 74; г) х - 80 = х + (-80); д) -30 - р = -30 + (-р); е) 6 - (-а) = 6 + а.

1094. а) -8 и х; б) z и -6; в) -m и -25; г) 10, -а и у; д) -n, 9 и -k; е) -а, -b и -с.

1095. а) (-x) + (-у) + (-4,8) = -x - у - 4,8; б) 1,5 + (-a) + b + (-с) = 1,5 - а + b - с; в) р + (-20) + 6 + (-k) + 10,3 = р - 20 + 6 - k + 10,3; г) -7,6 + m + + (-n) + (-t) + (-l) = -7,6 + m - n - t - l.

1097. а) 8 - 2 = 6; б) -3 - (-5) = -3 + 5 = 3; в) 6 - (-1) =6 + 1 = 7; г) 5 - (-4) = 5 + 4 = 9; д) 3,2 - (-4,7) = 3,2 + 4,7 = 7,9; е) -2,5 - (-8,1) = -2,5+ 8,1 = 5,6.

1099. а) 3,75 + (-2,11) + 1,36 = 3; б) -4,27 + (-3,11) + (-0,62) = -7,38 + (-0,62) = -8.

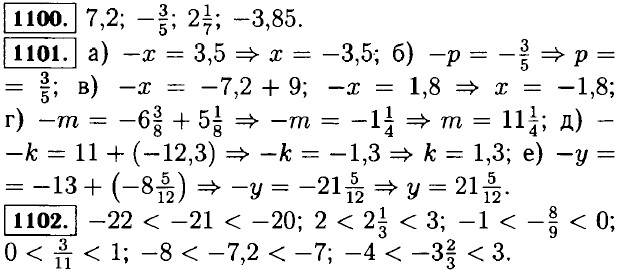
1103. а) -3; -2; -1; 0; 1; 2; 3; б) -5; -6; -7; -8; -9; 9; 8; 7; 6; 5.

1104. а) может, например, (-2) + 5 = 3; 3 < 5; б) может, например, (-8) + (-10) = -18; -18 < -8; -18 < -10.

<<< К началу   Решенния (окончание) >>>

 

 

???????@Mail.ru