Главная >> ГДЗ к учебнику Виленкина. Математика 6 класс

§ 6. Сложение и вычитание положительных и отрицательных чисел

Вычитание. ГДЗ

1106. Пусть свеклы было собрано ж кг, тогда картофеля собрали 5x кг, а капусты х + 80 кг. Всего овощей было собрано 360 кг. Составим и решим уравнение: 5х + х + х + 80 = 360 ⇒ 7х + 80 = 360 ⇒ 7х = 280 ⇒ х = 40 кг свеклы; 5х = 200 кг картофеля; х + 80 = 120 кг капусты.

1108. 1) 40,1 - 4,06 • (29,58 : 3,48) + 8,112 : 0,78 = 40,1 - 4,06 • 8,5 + 10,4 = 40,1 - 34,51 + 10,4 = 15,99;
2) 50,2 - 3,04 • (45,22 : 4,76) + 9,202 : 0,86 = 50,2 - 3,04 • 9,5 + 10,7 = 50,2 - 28,88 + 10,7 = 32,02.

1110. а) (а + b) - с = (2,6 + (-1,4)) - 2,1 = 1,2 + (-2,1) = -0,9; б) (а + b) - с = (-2,4 + (-2,4)) - (-3,9) = -4,8 + 3,9 = -0,9.

1111. Расстояние АВ равно 9 - (-4) = 9 + 4 = 13.

1115. Пусть x — число купленных на бельэтаж билетов, тогда на балкон было куплено билетов О,Ах, а в партер 1,5 • (0,4x + х) билетов. Всего было куплено 70 билетов. Составим и решим уравнение: 15 • (0,4x + х) + 0,4x + х = 70 ⇒ 1,5 • 1,4x + 0,4x + х = 70 ⇒ 3,5x = 70 ⇒ х = 20 билетов куплено на бельэтаж, 0,4x = 0,4 • 20 = 8 билетов куплено на балкон, 1,5 • (0,4x + х) = 1,5(8 + 20) = 42 билета куплено в партер.

1116. Пусть в альбоме было х российских марок, тогда иностранных марок было 0,3x штук. Всего в альбоме 1105 марок. Составим и решим уравнение: 0,3x + х = 1105 ⇒ 1,3x = 1105 ⇒ х = 850 российских марок, 0,3х = 0,3 • 850 = 255 иностранных марок.

1117. Однокомнатных квартир в доме: 300 • 0,28 = 84. Пусть х — количество трёхкомнатных квартир в доме, тогда двухкомнатные квартиры составляют 1,7а:. Двухкомнатных и трёхкомнатных квартир в доме: 300 - 84 = 216. Составим и решим уравнение: х + 7х = 216 ⇒ 2,7х = 216 ⇒ х = 80 трёхкомнатных квартир, двухкомнатных квартир: 1,7х = 1,7 • 80 = 136.

<<< К началу

 

 

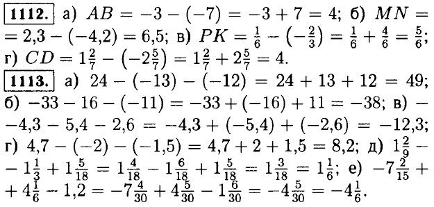
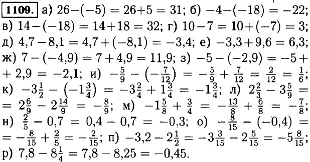
???????@Mail.ru