Главная >> Математика 6 класс с ГДЗ. Виленкин

§ 7. Умножение и деление положительных и отрицательных чисел

35. Умножение (окончание)

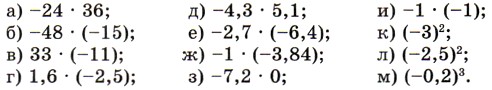
1132. Выполните действие:

1133. Сравните:

    а) |-3,5 + 2,9| и |-3,5| + |2,9|;

    б) |-8,7 - 0,7| и |-8,7| + |-0,7|.

1134. Вычислите устно:

1135. Представьте число -12 в виде разности: а) двух положительных чисел; б) двух отрицательных чисел; в) отрицательного и положительного чисел.

1136. Может ли быть верным равенство а - b = b - а? Приведите примеры. Найдите условие, при котором данное равенство верно.

1137. Может ли разность двух чисел быть больше их суммы?

1138. Подберите такие отрицательные значения х и у, чтобы значение выражения х - у было равно:

1140. Решите уравнение:

    а) х + 3,2 = 1,8;      в) 3,7 - х = -2,3;

    б) 4,8 - х — 5,6;      г) х - 3,9 = -2,7.

1141. Сосна выше ели на 1,2 м. Какова высота сосны и какова высота ели, если известно, что:

    а) сосна выше ели в 1,5 раза;

    б) ель в 1,6 раза ниже сосны;

    в) высота ели составляет высоты сосны;

    г) высота ели составляет 0,4 высоты сосны;

    д) высота ели составляет 80 % высоты сосны?

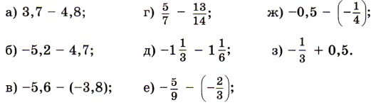
1142. Найдите значение выражения:

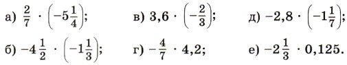
1143. Найдите значение произведения:

1144. Выполните умножение:

1145. Найдите значение выражения:

1146. В среду привезли на 4,8 т больше сена, чем во вторник. Сколько тонн сена привезли за эти два дня, если во вторник привезли в 1,4 раза меньше, чем в среду?

1147. Первое число 60. Второе число составляет 80% первого, а третье число составляет 50% суммы первого и второго. Найдите среднее арифметическое этих чисел.

1148. Среднее арифметическое двух чисел равно 12,32. Одно из них составляет треть от другого. Найдите каждое число.

<<< К началу      Решенния >>>

 

 

???????@Mail.ru