Главная >> Домашние работы к учебнику Виленкина. Математика 6 класс

§ 7. Умножение и деление положительных и отрицательных чисел

Умножение. Домашние работы

1118. За трое суток уровень воды изменился на 3 • а дм: если а = 4, то 3 • а = 3 • 4 = 12 дм, уровень воды повысится; если a = -3, то 3 • а = 3 • (-3) = -9 дм, уровень воды понизится.

1119. а) 3 • 15 = 45, то есть столбик ртути поднимется на 45 мм; б) 3 • (-12) = -36, то есть столбик ртути опустится на 36 мм.

1120. а) за 4 часа турист пройдёт в положительном направлении: 5 • 4 = 20 км; б) за 4 часа турист пройдёт в отрицательном направлении: 5 • 4 = 20 км; в) 4 часа тому назад турист находился в 20 км (4 • 5 = 20) от точки 0 в отрицательном направлении; г) 4 часа тому назад турист находился в 20 км (4 • 5 = 20) от точки 0 в положительном направлении.

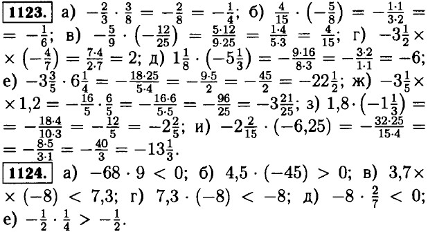
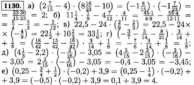
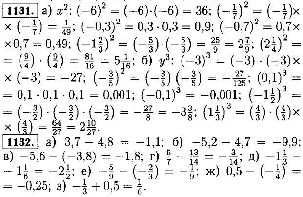
1121. а) -5 • 6 = -30; б) 9 • (-3) = -27; в) -8 • (-7) = 56; г) -10 • 11 = -110; д) -11 • (-12) = 132; е) -1,45 • 0 = 0; ж) 0,7 • (-8) = -5,6; з) -0,5 • 6 = -3; и) 12 • (-0,2) = -2,4; к) -0,6 • (-0,9) = 0,54; л) -2,5 • (0,4) = -1; м) 0 • (-1,1) = 0; н) 1,2 • (-14) = -16,8; o) -20,5 • (-46) = 943; п) -8,8 • 302 = -2657,6; p) -9,8 • (-50,6) = 495,88; с) -17,5 • (-17,4) = 304,5; т) 3,08 • (-4,05) = -12,474.

1122. При у = 0 ⇒ -42у = -42 • 0 = 0. При у = 1 ⇒ -42у = -42 • 1 = -42. При у = -1 ⇒ -42у = -42 • (-1) = 42. При у = 3 ⇒ -42у = -42 • 3 = -126. При у = 5 ⇒ -42у = -42 • 5 = -210. При у = -30 ⇒ -42у = -42 • (-30) = 1260.

1125. а) 1 • (-3,9) = -3,9; б) (-1) • 7,4 = -7,4; в) -65 • (-1) = 65; г) -1 • 7,4 = -7,4.
При умножении числа на 1 получается это же число, а при умножении число на —1 получается противоположное число.

1126. а) х + х + х + х + х + х = 6 • х; б) -а - а - а - а = 4 • (-а) = -4а; в) -2у - 2у - 2у = 3 • (-2у) = -6у; г) 5х + 5х + 5х + 5х + 5х = 5 • 5х = 25х.

1127. а) х + 4 + x + 4 + x + 4 = 3 • x + 3 • 4 = 3x + 12: при х = 9,1 ⇒ 3х + 12 = 3 • 9,1 + 12 = 39,3;
б) а - 1 + а - 1 + а - 1 + а - 1 = 4а - 4; при а = -2,1 ⇒ 4а - 4 = 4 • (-2,1) - 4 = -8,4 - 4 = -12,4.

1128. а) х = -9; проверка -8 • (-9) = 72; б) х = 10; проверка -4 • 10 = -40; в) у = -9; проверка 6 • (-9) = -54; г) у = -11; проверка -6 • (-11) = 66.

1129. а) 3 • (-2) + (-3) • (-4) - (-5) • 7 = -6 + 12 - (-35) = 41; б) (-18 + 23 - 16 + 9) • (-18) = (-2) • (-18) = 36; в) (-4,5 + 3,8) • (2,01 - 3,81) = (-0,7) • (-1,8) = 1,26; г) (2,8 - 3,9) • (-4,3 - 2,6) = (-1,1) • (-6,9) = 7,59; д) -4,5 • 0,1 + (-3,7) • (-2,1) - (-5,4) • (-0,2) = -0,45 + 7,77 - 1,08 = 6,24; е) (2,3 - ( 1,8) - 1,4 • (-0,8)) • (-1,5) = (—4,14+1,12)-(—1,5) = = -3,02 • (-1,5) = 4,53; ж) -3,8 • (-1,5) - (-1,2)х х0,5 —6,5 = 5,7 - (-0,6) - 6,5 = 5,7 + 0,6 - 6,5 = -0,2; з) -2,321 • (-3,2 + 2,3 - 4,8 + 6,7) - 1,579 = -2,321 • 1 - 1,579 = -3,9.

<<< К началу   Решенния (окончание) >>>

 

 

???????@Mail.ru