Главная >> ГДЗ к учебнику Виленкина. Математика 6 класс

§ 7. Умножение и деление положительных и отрицательных чисел

Умножение. ГДЗ

1133. а) |-3,5 + 2,9| = |-0,6| = 0,6; |-3,5| + |2,9| = 3,5 + 2,9 = 6,4; |-3,5 + 2,9| < |3,5| + |2,9|; б) |-8,7 - 0,7| = |-9,4| = 9,4; |-8,7| + |0,7| = 8,7 + 0,7 = 9,4; |-8,7 - 0,7| = |-8,7| + |0,7|.

1135. а) 2 - 14 = -12; б) (-15) - (-3) = -12; в) (-2) - 10 = -12.

1136. а - b = b - а ⇒ 2а = 2b ⇒ а = b, например: 2 - 2 = 2 - 2, 5 - 5 = 5 - 5.

1137. a - b > a + b ⇒ 0 > b ⇒ b < 0, при любом а, например: -10 - (-5) = -5 > -15 = -10 - 5.

1139. а) 3,78 - (2,56 - 2,97) = 3,78 - (-0,41) = 4,19; б) -6,19 + (-1,5 + 5,19) = -6,19 + 3,69 = -2,5.

1140. а) х = 3,2 = 1,8 ⇒ х = 1,8 - 3,2 ⇒ х = -1,4; б) 4,8 - х = 5,6 ⇒ х = 4,8 - 5,6 ⇒ х = -0,8; в) 3,7 - х = -2,3 ⇒ х = 3,7 - (-2,3) ⇒ х = 6; г) х - 3,9 = -2,7 ⇒ х = -2,7 + 3,9 ⇒ х = 1,2.

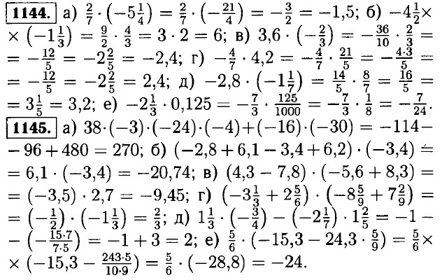
1143. а) -24 • 36 = -864; б) -48 • (-15) = 720; в) 33 • (-11) = -363; г) 1,6 • (-2,5) = -4; д) -4,3 • 5,1 = -21,93; е) -2,7 • (-6,4) = 17,28; ж) -1 • (-3,84) = 3,84; з) -7,2 • 0 = 0; и) -1 • (-1) = 1; к) (-3)2 = (-3) • (-3) = 9; л) (-2,5)2 = (-2,5) • (-2,5) = 6,25; м) (-0,2)3 = (-0,2) • (-0,2) • (-0,2) = -0,008.

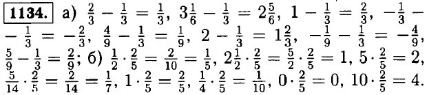
1146. Пусть х — количество сена привезённого во вторник, тогда в среду привезли 1,4x т сена. В среду привезли сена больше, чем во вторник, на 4,8 т. Составим и решим уравнение; 1,4x - х = 4,8 ⇒ 0,4х = 4,8 ⇒ х = 12. Таким образом, во вторник привезли 12 т сена, в среду привезли 12 + 4,8 = 16,8 т сена. За оба дня привезли: 12 + 16,8 = 28,8 т сена.

<<< К началу

 

 

???????@Mail.ru