Главная >> Математика 6 класс с ГДЗ. Виленкин

§ 7. Умножение и деление положительных и отрицательных чисел

37. Рациональные числа (продолжение)

В записях 0,333..., 0,4545... и 0,0666... одна или несколько цифр начинают повторяться бесконечно много раз. Такие записи называют периодическими дробями.

Вместо 0,333... пишут 0,(3), вместо 0,4545... пишут 0,(45), а вместо 0,0666... пишут 0,0(6).

Любое рациональное число можно записать либо в виде десятичной дроби (в частности, целого числа), либо в виде периодической дроби.

Для дроби число 0,3 является приближённым значением до десятых с недостатком: Число 0,4 является приближённым значением этой дроби до десятых с избытком: Таким образом,

Если число округлить до десятых, то получим если это число округлить до сотых, то получим а если округлить до тысячных, то


Какие числа называют рациональными?

Покажите, что любое целое число является рациональным числом.

Покажите, что любая десятичная дробь является рациональным числом.

Какими числами являются сумма, разность, произведение рациональных чисел?

Всегда ли частное двух рациональных чисел является рациональным числом?

Какая запись числа называется периодической дробью?


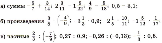
1178. Представьте в виде (где а — целое число, а n — натуральное число) следующие числа:

1179. Представьте в виде (где а — целое число, а n — натуральное число):

1180. Выразите в виде десятичной или периодической дроби числа:

1181. Какие из дробей

представить в виде десятичной дроби?

1182. Проверьте, что следующие равенства верны:

1183. Для дробей найдите десятичные приближения с недостатком и с избытком: а) до десятых; б) до сотых. Запишите ответ в виде двойного неравенства.

1184. Выразите дроби в виде приближённого значения десятичной дроби до сотых.

<<< К началу      Окончание >>>

 

 

???????@Mail.ru