Главная >> Математика 6 класс с ГДЗ. Виленкин

§ 7. Умножение и деление положительных и отрицательных чисел

37. Рациональные числа (окончание)

1185. Вычислите устно:

1186. Одинаковы ли знаки чисел х и у, если верно неравенство:

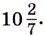
1187. При каких значениях m верно равенство:

1188. Может ли быть верным равенство а : b = b : а?

Как доказать, что утверждение «Равенство а : b = b : а верно при любых значениях а и b» несправедливо?

1189. Отметьте на координатной прямой точки с целыми координатами:

а) модуль которых больше 3 и меньше 7,1;
б) кратными двум, модуль которых больше 5 и меньше 10

1190. Выполните деление:

1191. Можно ли привести дробь к знаменателю 20; 24; 45; 75; 80; 100; 1000?

1192. Можно ли привести к знаменателю 60 дроби:

1193. Можно ли представить в виде десятичной дроби числа

1194. Можно ли привести к знаменателю 100 дробь если m = 2; 25; 3; 4?

1195. Найдите значение выражения:

1196. Представьте в виде (где а — целое число, а n — натуральное число):

1197. Проверьте, что верно равенство:

1198. Выразите дроби в виде приближённого значения десятичной дроби, округлив результат до тысячных.

1199. Два мальчика идут навстречу друг другу. Сейчас между ними 12 км. Скорость одного из них составляет скорости другого. Найдите скорость движения каждого мальчика, если известно, что они встретятся через 1,5 ч.

1200. Найдите значение выражения:

а) (-0,8 • 1,2 + 1,06) : (-0,5);
б) (-30,15 : 15 + 0,91) • (-2,4).

<<< К началу      Решенния >>>

 

 

???????@Mail.ru