Главная >> Домашние работы к учебнику Виленкина. Математика 6 класс

§ 7. Умножение и деление положительных и отрицательных чисел

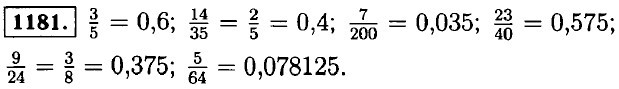
Рациональные числа. Домашние работы

1186. а) ху < 0, если х и у имеют разные знаки; б) ху > 0, если х и у имеют одинаковые знаки; в) ху < -3, если х и у имеют разные знаки; г) ху > 5, если х и у имеют одинаковые знаки.

<<< К началу   Решенния (окончание) >>>  

 

???????@Mail.ru