Главная >> ГДЗ к учебнику Виленкина. Математика 6 класс

§ 7. Умножение и деление положительных и отрицательных чисел

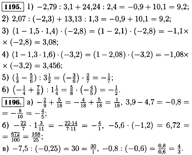
Рациональные числа. ГДЗ

<<< К началу

 

 

???????@Mail.ru