Главная >> Математика 6 класс с ГДЗ. Виленкин

§ 8. Решение уравнений

39. Раскрытие скобок (продолжение)


Как раскрывают скобки, перед которыми стоит знак «+»?

Как можно найти значение выражения, противоположное сумме нескольких чисел?

Как раскрыть скобки, перед которыми стоит знак «-»?


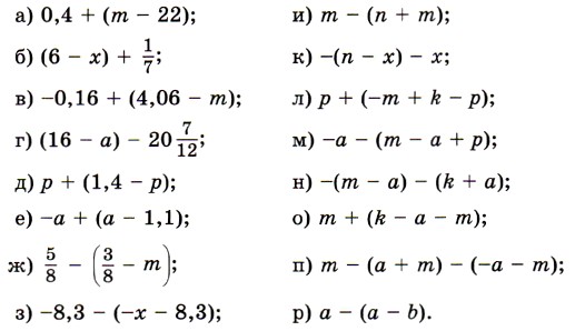
1234. Раскройте скобки:

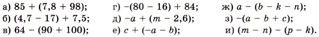
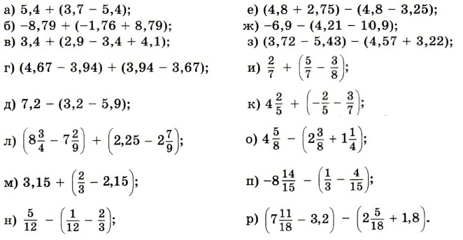
1235. Найдите значение выражения:

1236. Раскройте скобки:

1237. Раскройте скобки и найдите значение выражения:

1238. Упростите выражение:

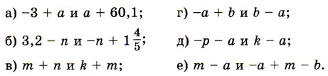
1239. Напишите сумму двух выражений и упростите её:

1240. Напишите разность двух выражений и упростите:

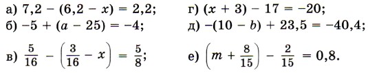
1241. Решите уравнение:

1242. Решите с помощью уравнения задачу:

а) На одной полке 42 книги, а на другой — 34. Со второй полки сняли несколько книг, а с первой — столько, сколько осталось на второй. После этого на первой полке осталось 12 книг. Сколько книг сняли со второй полки?

б) В первом классе 42 ученика, во втором — на 3 ученика меньше, чем в третьем. Сколько учеников в третьем классе, если всего в этих трёх классах 125 учеников?

1243. Найдите значение выражения:

1244. Вычислите устно:

<<< К началу      Окончание >>>

 

 

???????@Mail.ru