Главная >> Математика 6 класс с ГДЗ. Виленкин

§ 8. Решение уравнений

39. Раскрытие скобок (окончание)

1245. Найдите наибольшее значение выражения:

1246. Укажите 4 последовательных целых числа, если:

1247. Найдите координаты середины отрезка, если координаты его концов равны:

1248. Каким числом может быть значение выражения х + у, если:

1249. Решите с помощью графа задачу: «Вера, Нина, Оля и Люба надели платья разных цветов (красное, синее, белое, голубое). На вопрос, кто из них в каком платье, три девочки ответили: 1) Оля — в синем, Люба — в белом; 2) Оля — в красном, Нина — в синем; 3) Вера — в синем, Люба — в голубом. В каждом ответе только одна часть верна, а другая нет. Платье какого цвета надела каждая девочка?»

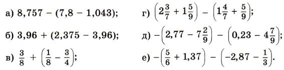
1250. Найдите значение выражения:

1251. Представьте:

1252. Найдите неизвестный член пропорции:

1253. Решите уравнение:

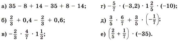
1254. Раскройте скобки и найдите значение выражения:

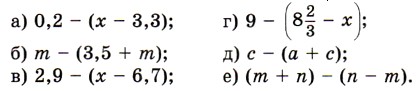
1255. Упростите выражение:

1256. Решите уравнение:

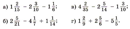
1257. Найдите значение выражения:

1258. Решите задачу, составив пропорцию:

а) Затрачивая на изготовление каждой детали мин, бригада выпускала за смену 540 деталей. Сколько деталей будет выпускать за смену бригада, если на изготовление каждой детали будут затрачивать мин? На сколько процентов повысится при этом производительность труда?

б) Масса 15 л керосина равна 12,3 кг. Какова масса 35 л керосина?

в) Из 0,3 т свежих яблок получается 57 кг сушёных. Сколько сушёных яблок получится из 5,5 т свежих?

1259. Решите уравнение:

<<< К началу      Решенния >>>

 

 

???????@Mail.ru