Главная >> Домашние работы к учебнику Виленкина. Математика 6 класс

§ 8. Решение уравнений

Раскрытие скобок. Домашние работы

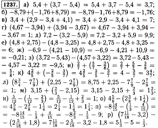
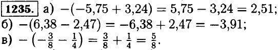
1234. а) 3,4 + (2,6 + 8,3) - 3,4 + 2,6 + 8,3 - 14,3; б) 4,57 + (2,6 - 4,57) = 4,57 + 2,6 - 4,57 = 2,6; в) m + (n - k) = m + n - k; г) с + (-а + b) = с - а + b.

1236. а) 85 + (7,8 + 98) = 85 + 7,8 + 98 = 190,8; б) (4,7 - 17) + 7,5 = 4,7 - 17 + 7,5 = -4,8; в) 64 - (90 + 100) = 64 - 90 - 100 = -126; г) -(80 - 16) + 84 = -80 + 16 + 84 - 20; д) -а + (m -2,6) = -а + m - 2,6; е) с + (-а - b) = с - а - b; ж) а - (b - k - n) = а - b + k + n; з) -(а - b + с) = -а + b - с; и) (m - n) - (р - k) = m - n - р + k.

1239. а) (-4 - m) + (m + 6,4) = -4 - m + m + 6,4 = 2,4; б) (1,1 + а) + (-26 - а) = 1,1 + а - 26 - а = -24,9; в) (а + 13) + (-13 + b) = а + 13 - 13 + b = а + b; г) (а + b) + (р - b) = а + b + р - b = а + р; д) (-m - n) + (-k - n) = -m - n - k + n = -m - k; е) (m - n) + (n - m) = m - п + n - m = 0.

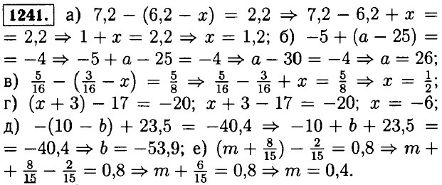
1242. а) Пусть со второй полки сняли х книг, тогда на второй полке осталось 34 — х книг. После того, как с первой полки сняли 34 — х книг, на ней осталось 12 книг. Составим и решим уравнение: 42 - (34 - х) = 12 ⇒ 42 - 34 + х = 12 ⇒ х = 4 книги сняли со второй полки, б) Пусть в третьем классе х учеников, тогда во втором классе х - 3 учеников. Всего в трёх классах 125 учеников. Составим и решим уравнение: 42 + (х - 3) + х - 125 ⇒ 42 + x - 3 + х = 125 ⇒ 39 + 2х = 125 ⇒ 2х = 86 ⇒ х = 43 ученика в третьем классе.

<<< К началу   Решенния (окончание) >>>

 

 

???????@Mail.ru