Главная >> Домашние работы к учебнику Виленкина. Математика 6 класс

§ 9. Координаты на плоскости

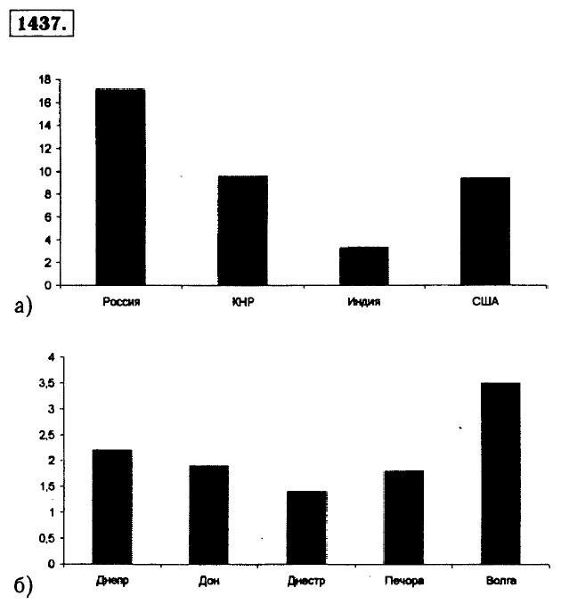
Столбчатые диаграммы. Домашние работы

<<< К началу

 

 

???????@Mail.ru