Главная >> Домашние работы к учебнику Виленкина. Математика 6 класс

§ 9. Координаты на плоскости

Графики. Домашние работы

1441. Масса Пети в 6 лет — 19 кг, в 8,5 лет — 24 кг, в 10 лет — 31 кг.

1442. а) -7°С, ≈ 5,5°С; б) 0 - 8 ч и от 22 - 24 ч; в) 8-22 ч; г) ≈ 2 ч и 21 ч, 4 ч и 24 ч; д) 14,5°С, -13°С.

1443. а) высота сосны в 15 лет составляла 5,1 м, в 35 лет 11,7 м, в 75 лет 20,8 м. б) 10 м сосна достигла в 32 года; 16 м в высоту сосна имела в возрасте 56 лет; 20 м в возрасте 74 года, в) за первые 20 лет сосна выросла на 6 м; за вторые 20 лет она выросла на 12,4 - 6 = 6,4 м; за третьи 20 лет — на 17 - 12,4 = 4,6 м. г) за время от 15 до 45 лет сосна выросла на 13,2 - 5,1 = 8,1 м.

1444. а) при 0,8 л воды, её уровень будет 6,2 см; если в него налить 2 л воды, то ее уровень в графине достигнет высоты 11,8 см; б) чтобы уровень воды в графине оказался на высоте 7 см, в него надо налить 0,9 л воды. Чтобы уровень воды в графине был равен 13 см, в него надо налить 2,25 л воды; в) потому что меняется форма сосуда.

1445. а) грузовой автомобиль вышел из города в 2 часа, а легковой в 4 часа; б) легковой автомобиль в 4 ч 30 мин был от города на расстоянии 45 км, а в 7 ч — на расстоянии 270 км; в) грузовой автомобиль в 4 ч был от города на расстоянии 90 км, а в 6 ч 30 мин — на расстоянии 230 км; г) грузовой автомобиль находился на расстоянии 150 км от города в 5 ч, на расстоянии 230 км — в 6 ч 30 мин; д) легковой автомобиль находился на расстоянии 135 км от города в 5 ч 30 мин, а на расстоянии 225 км — в 6 ч 30 мин; е) легковой автомобиль догнал грузовой в 6 ч 20 мин на расстоянии 210 км от города; ж) легковой и грузовой автомобиль шли с постоянными скоростями, так как график их движения — прямая линия; з) скорость грузового автомобиля между 5 ч и 6 ч равна 195 - 150 = 45 км/ч; его скорость между 6 ч и 7 ч равна 240 - 195 = 45 км/ч; и) в 5 ч автомобили были друг от друга на расстоянии 150 - 90 = 60 км; в 7 ч — на расстоянии 270 - 240 = 30 км.

1446. а) через 30 мин рыболов был от дома на расстоянии 2 км; через 4 ч 40 м на расстоянии 12 км; через 5,5 ч на расстоянии 12 км от дома, б) в 5 км от дома рыболов был через 1 ч 12 мин и 8 часов после выхода из дома, в) расстояние от дома увеличивалось в течение первых двух часов после выхода из дома и в промежутке от 3,5 часов до 4,5 часов, считая с момента выхода из дома. Расстояние до дома уменьшалось от 6,5 часов до 9 часов, считая с момента выхода из дома. Расстояние не изменялось от 2 до 3,5 часов и от 4,5 часов до 6,5 часов, г) за последние 2 часа рыболов прошёл 9,4 км. д) в первый час пути рыболов шёл со скоростью 5 км/ч, а в последний час со скоростью 4,8 км/ч. В промежутке времени между 4 и 4,5 часами после выхода из дома скорость движения рыболова равна

1447. а) -6,4, -4, 8,1, -2,7; б) -9.9, -3,3, -6, -1,5; в) -1,4, -2,8, -4,2, -1,4; г) 0,75, -3, -0.5, -0,75.

1452. а) в первой четверти; б) в третьей четверти; в) во второй четверти; г) в начале координат; д) в четвёртой четверти; е) на оси абсцисс.

1454. a) |x| + |-12| = |-22| ⇒ |x| = 10 ⇒ x = ±10; 6) |-7| • |x| = |-491 ⇒ 7|x| = 49 ⇒ x = ±7; x = 7.

<<< К началу   Решенния (окончание) >>>

 

 

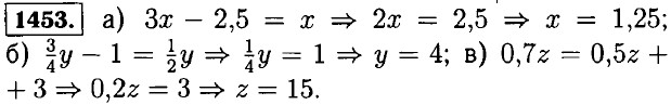
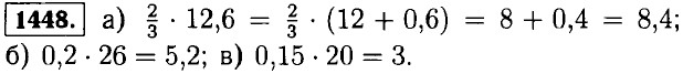
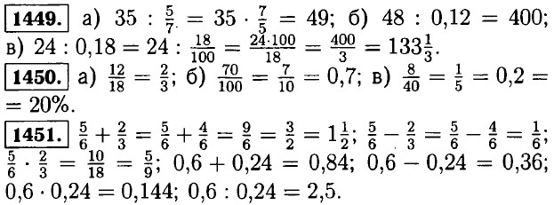
???????@Mail.ru