Главная >> ГДЗ к учебнику Виленкина. Математика 6 класс

§ 9. Координаты на плоскости

Графики. ГДЗ

1455. a) -6; -5; -4; 4; 5; 6; 6) -10; -9; -8; -7; -6; 6; 7; 8; 9; 10.

1458. Пусть х — масса первого сазана, тогда масса второго сазана 1,5х кг, масса третьего сазана 0,5х кг. Составим и решим уравнение: х + 1,5х + 0,5х = 10,8 ⇒ 3х = 10,8 ⇒ х = 3,6 кг — масса первого сазана. Масса второго сазана: 1,5 • 3,6 = = 5,4 кг. Масса третьего сазана: 0,5 • 3,6 = 1,8 кг.

1466. а) 120 км; б) 1 • 6 : 30 = 0,2 мин и 12 : 30 = 0,4 мин; в) 60 км; г) 180 : 3 = 60 км/ч.

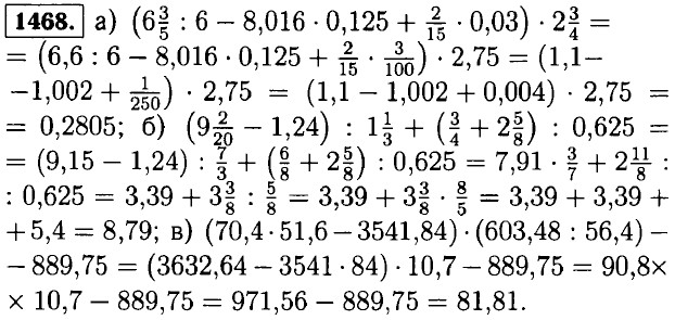
1467. Выполните задание самостоятельно.

<<< К началу

 

 

???????@Mail.ru