Главная >> Домашние работы к учебнику Виленкина. Математика 6 класс

§ 2. Сложение и вычитание дробей с разными знаменателями

Основное свойство дроби. Домашние работы

211. Круг разделён на 15 равных частей. Закрашено 9 частей. Не закрашено 6. Если считать за одну часть три маленькие части, то будет закрашено 3 такие части а всего будет 5 таких частей, поэтому
Большой квадрат разделён на 4 больших квадрата, а каждый из этих квадратов разделён ещё на 4 маленьких. Всего в квадрате 16 маленьких. В трёх закрашенных квадратах содержится 12 маленьких квадратов или 3 больших, поэтому
Прямоугольник разбит на 7 сдвоенных прямоугольников. Всего в большом прямоугольнике содержится 14 маленьких. В 5 закрашенных сдвоенных прямоугольниках содержится 10 маленьких прямоугольников, поэтому

214. Выделенные части отрезков АВ и CD равны.

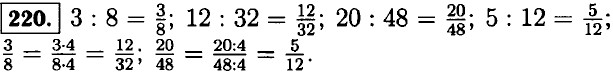
221. а) х = 2; б) m = 10; в) n = 3; г) у = 18.

222. а) 500, 4, 300, 140; б) 5, 200, 4, 76; в) 12,6, 4,2, 4, 10; г) 0,6, 3, 2,5, 0,5; д) 0,64, 0.08, 0,8, 2.

223. 1,1; 11,1; 2,2; 2,22; 0,33; 0,333.

224. а) 23 + 2,6 = 2 • 2 • 2 + 2,6 = 8 + 2,6 = 10,6;
б) 0,32 + 1,1 = 0,3 • 0,3 • 0,3 + 1,1 = 0,09 + 1,1 = 1,19;
в) (1,6 - 0,7)2 = 0,92 = 0,9 • 0,9 = 0,81; г) (0,6 • 0,5 + 0,7)3 = (0,3 + 0,7)3 = 13 = 1.

225. Число а не кратно числу 3.

226. А(2m); В(2n) или (3m); (7(3n); D(4n) или (6m); координаты точек В и D — общие кратные чисел m и n.

227. Пусть а — длина прямоугольника, b — его ширина. Площадь прямоугольника до увеличения: S1 = а • b. Площадь прямоугольника после увеличения: S2 = (а + 0,3а) • (b + 0,2b); S2 = 1,3а • 1,2b = 1,56 • S1. Если принять S1 за 100%, тогда S2 соответствует 156%, и тогда площадь прямоугольника увеличилась на 156 - 100 = 56%.

<<< К началу   Решенния (окончание) >>>

 

 

???????@Mail.ru