Главная >> Математика 6 класс с ГДЗ. Виленкин

§ 2. Сложение и вычитание дробей с разными знаменателями

9. Сокращение дробей (окончание)

255. Найдите среди чисел 1, 3, 10, 12, 13, 15, 16, 39 пары взаимно простых чисел.

256. Найдите равные среди чисел:

257. При каких натуральных значениях букв равны дроби:

260. Разделите числитель и знаменатель дроби:

261. Умножьте числитель и знаменатель дроби:

262. Сколько пятизначных чисел можно составить из чётных цифр, если цифры в записи числа не повторяются?

263. Собственная скорость катера 12,8 км/ч. Скорость течения реки 1,7 км/ч. Найдите скорость катера по течению и против течения.

264. Скорость движения теплохода по течению реки 22,7 км/ч. Скорость течения 1,9 км/ч. Найдите собственную скорость теплохода и его скорость против течения.

265. Бригада изготовила за 3 дня 6000 деталей при плане 5100 деталей. Причём в первый день была изготовлена треть всех выпущенных деталей, а во второй день — плана. Сколько деталей изготовила бригада в третий день?

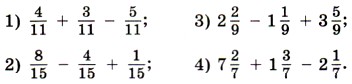
266. Найдите значение выражения:

267. Решите задачу:

1) Путешественник проплыл против течения реки на моторной лодке 3 ч. Обратно он вернулся на плоту. Сколько времени путешественник затратил на обратный путь, если собственная скорость лодки 24 км/ч, а скорость течения 3 км/ч?
2) Путешественник проплыл по реке на плоту 75 км за 25 ч. Обратно он вернулся на моторной лодке, собственная скорость которой 28 км/ч. Сколько времени затратил путешественник на обратный путь?

268. Сократите дроби:

269. Сократите:

270. Представьте в виде обыкновенной несократимой дроби следующие десятичные дроби: 0,875; 0,75; 0,035.

271. Выполните действие и сократите результат:

272. Турист плыл на теплоходе сначала 1,2 ч по озеру, а затем 3,6 ч по реке, которая впадает в это озеро. Собственная скорость теплохода 22,4 км/ч, а скорость течения реки 1,7 км/ч. Найдите длину всего пути туриста на теплоходе.

273. В четырёх больших и трёх маленьких коробках с цветными карандашами всего 132 карандаша. В двух больших и трёх маленьких таких же коробках всего 84 карандаша. Сколько карандашей в одной маленькой коробке?

274. Выполните действия:

а) (867 000 : 2125 - 396,4) • 2,15;
б) (26,16 : 6 + 2,6 • 1,4) : 0,4 - 0,4.

<<< К началу      Решенния >>>

 

 

???????@Mail.ru