Главная >> Математика 6 класс с ГДЗ. Виленкин

§ 2. Сложение и вычитание дробей с разными знаменателями

9. Сокращение дробей

Если числитель и знаменатель дроби разделить на 5, то получится равная ей дробь

  • Деление числителя и знаменателя на их общий делитель, отличный от единицы, называют сокращением дроби.

Дробь сократить нельзя, так как числа 3 и 4 взаимно простые. Такую дробь называют несократимой.

Наибольшее число, на которое можно сократить дробь, — это наибольший общий делитель её числителя и знаменателя.

Например, наибольшим общим делителем чисел 150 и 225 является 75. Значит, дробь можно сократить на 75, получим

Тот же ответ можно получить, сокращая дробь последовательно на общие делители чисел 150 и 225, используя для их нахождения признаки делимости:

Иногда удобно при сокращении дроби разложить числитель и знаменатель на несколько множителей, а потом уже сократить.

Например, Сократим на 3 • 3 • 5 и получим Дробь несократимая.


Что называют сокращением дроби?
Какую дробь называют несократимой?


242. Сократите дроби :

243. Сократите дроби:

244. Сократите:

245. Представьте в виде обыкновенной несократимой дроби: 0,2; 0,8; 0,5; 0,15; 0,24, 0,35; 0,75; 0,05; 0,125; 0,025; 0,008; 0,375.

246. Какую часть часа составляют 45 мин, 12 мин, 15 мин, 40 мин, 35 мин?

247. Какую часть развёрнутого угла составляют 30°, 45°, 60°, 90°, 120°, 135°, 150°?

248. Какую часть килограмма составляют 125 г, 250 г, 750 г?

249. Выполните действие:

250. Один рабочий изготовил 16 одинаковых деталей за 6 ч, а другой — 24 такие же детали за 15 ч. Какой из них тратил на изготовление одной детали больше времени и на сколько?

251. Из 20 м ткани сшили 8 одинаковых платьев для взрослых, а из 12 м сшили 8 детских платьев. Сколько метров ткани пошло на одно детское платье и сколько — на одно платье для взрослых?

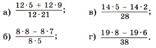
252. Применив распределительный закон, представьте числитель дроби в виде произведения, а затем сократите:

Вычислите устно:

254. Найдите пропущенные числа:

Окончание >>>

 

 

???????@Mail.ru