Главная >> Математика 6 класс. Виленкин

§ 3. Умножение и деление обыкновенных дробей

13. Умножение дробей (продолжение)

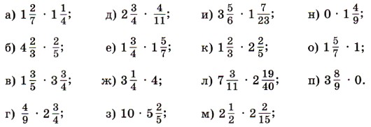
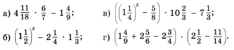
431. Выполните умножение:

432. Станок-автомат изготовляет одну деталь за мин. За сколько минут станок изготовит 3 детали, 4 детали, 60 деталей?

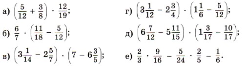
433. Выполните действие:

434. Сторона квадрата м. Чему равна площадь квадрата?

435. Найдите объём куба, ребро которого м.

436. Масса 1 л керосина составляет кг. Какова масса керосина?

437. Автомашина движется со скоростью км/мин. Какой путь пройдёт автомашина за мин; за мин?

438. Найдите значение выражения двумя способами: по правилу умножения обыкновенных дробей и по правилу умножения десятичных дробей. Сравните результаты.

439. Найдите произведение Проверьте результат, представив эти числа в виде десятичных дробей.

440. Представьте первый множитель в виде обыкновенной дроби и выполните умножение:

441. Представьте первый множитель в виде десятичной дроби и выполните умножение:

442. Выполните действия:

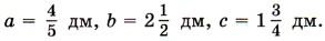
443. Измерения прямоугольного параллелепипеда равны дм, дм и дм. Найдите его объём.

444. Представьте в виде произведения двух дробей число:

445. Найдите значение выражения:

446. Выполните умножение:

447. Найдите по формуле пути значение s, если:

448. Найдите по формуле объёма прямоугольного параллелепипеда V = abc значение V, если

449. Найдите массу метал л ической детали, объём которой равен дм3, если масса 1 дм3 этого металла равна кг.

450. Два велосипедиста выехали одновременно из одного и того же пункта и двигались в одном и том же направлении. Скорость первого велосипедиста км/ч, а скорость второго в раза больше. Какое расстояние будет между ними через ч?

451. Маша и Вера вышли из двух сёл навстречу друг другу. Маша шла со скоростью 3 км/ч, и её скорость была в раза меньше скорости Веры. Через ч девочки встретились. Найдите расстояние между сёлами.

452. Во дворе заливали каток с помощью двух шлангов. Через первый шланг за 1 ч поступало м3 воды, а через второй — м3. Первым шлангом каток заливали ч, а вторым — в раза дольше. Сколько воды израсходовали на заливку катка?

453. С первого поля, площадь которого га, собирали с 1 га по ц пшеницы, а со второго поля, площадь которого в раза больше площади первого поля, собирали по ц пшеницы с 1 га. Сколько всего центнеров пшеницы собрали с этих двух полей?

454. Найдите значение выражения:

455. Вычислите устно:

456. Найдите пропущенные числа:

457. Сумму данных дробей сложите с их разностью. Попробуйте догадаться, как быстрее и проще получить ответ:

<<< К началу      Окончание >>>

 

 

???????@Mail.ru