Главная >> Математика 6 класс. Виленкин

§ 3. Умножение и деление обыкновенных дробей

13. Умножение дробей (окончание)

458. Представьте дробь

а) в виде разности двух дробей со знаменателем 3; 18; 21;
б) в виде суммы двух дробей со знаменателем 3; 9; 12.

459. На координатном луче (рис. 20) отмечены дробь и число а. Покажите, где расположены на луче точки

Рис. 20

460. Кто быстрее? Найдите в таблице последовательно все числа от 1 до 25:

461. Найдите значение выражения:

462. В алфавите племени аоку всего 6 букв — А, К, М, О, Р, У. Все слова в языке этого племени состоят из четырёх букв. Какое наибольшее число слов может быть в языке племени аоку? В скольких из этих слов буквы не повторяются?

463. На складе было т зерна. Сколько зерна стало на складе после того, как привезли т, а затем увезли т?

464. Сколько килограммов составляют:

а) 1% центнера;       б) 7% центнера;      в) 2,5% центнера?

465. Сколько квадратных метров составляют:

а) 1% гектара;        в) 15% ара;
б) 3,5% гектара;       г) 0,07% квадратного километра?

466. Запишите, какую часть числа составляют: 1%, 3%, 15%, 25%, 10%, 20%, 50%.

467. Запишите в виде десятичной и в виде обыкновенной дроби: 35%, 48%, 75%, 110%, 125%.

О б р а з е ц   з а п и с и:

468. Запишите в виде процентов:

О б р а з е ц   з а п и с и:

469. Решите задачу:

1) Задание рабочие выполнили за три дня. В первый день они сделали всей работы, во второй день — всей работы. Какую часть всей работы они выполнили в третий день?
2) Поле было засеяно за три дня. В первый день была засеяна всего поля, во второй день — всего поля. Какая часть всего поля была засеяна в третий день?

470. Решите уравнение:

471. Упростите выражение:

1) 3,7x + 2,5у + 1,6x + 4,8у;
2) 4,5m + 1,9n + 3,3m + 4,3n.

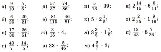
472. Выполните умножение:

473. Найдите значение выражения:

474. Скорость улитки м/мин. Какое расстояние проползёт улитка за

475. Найдите объём прямоугольного параллелепипеда, измерения которого равны

476. Масса 1 дм3 стали равна кг. Найдите массу стального куба, ребро которого дм.

477. Колесо делает оборота в минуту. Сколько оборотов оно совершит за 3 мин; за мин; за мин?

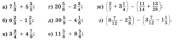
478. Выполните действия:

479. Выразите обыкновенной дробью: 26%, 45%, 80%, 90%.

480. Запишите в виде процентов:

481. Моторная лодка догоняет плот. Сейчас расстояние между ними 35 км. Скорость плота 2,5 км/ч, а скорость моторной лодки 9,5 км/ч. Какое расстояние будет между ними через t часов, если t = 0,5; 3; 5?

482. Решите уравнение:

а) 9,5x - (3,2x + 1,8х) + 3,75 = 6,9;
б) 11,3у - (9,7у - 0,8у) + 7,4 = 17.

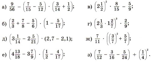
483. Выполните действия:

7,72 • 2,25 - 4,06: (0,824 + 1,176) - 12,423.

<<< К началу

 

 

???????@Mail.ru