Главная >> Математика 6 класс. Виленкин

§ 3. Умножение и деление обыкновенных дробей

15. Применение распределительного свойства умножения (продолжение)

542. Продолжительность жизни берёзы 150 лет. Сосна живёт в раза дольше берёзы, а мамонтово дерево — в 5 раз дольше сосны. Какова продолжительность жизни мамонтова дерева?

543. Квартира состоит из двух комнат. Длина большей комнаты — м, а ширина 4 м. Длина меньшей комнаты 4 м, а ширина м. На сколько площадь одной комнаты меньше площади другой?

544. Площадь поля а га. В первый день вспахали поля. Какая площадь осталась невспаханной? Найдите значение получившегося выражения при

545. В первый день туристы прошли всего пути, во второй день — всего пути. Сколько километров пройдено за два дня, если весь путь n км? Составьте выражение для решения задачи, упростите его и найдите значение при

546. Семья получила двухкомнатную квартиру общей площадью с м2. Одна комната составляла 0,36 общей площади, а вторая составляла площади первой комнаты. Чему равна площадь двух комнат вместе? Найдите значение получившегося выражения при с = 50; 75.

547. В бидоне было а л молока. Из бидона перелили в кастрюлю этого молока и в кувшин 0,6 того количества, которое вылили в кастрюлю. Сколько молока осталось в бидоне? Найдите значение получившегося выражения при

548. На складе было m кг гвоздей. Кладовщик в первый раз выдал 40% имевшихся гвоздей, во второй раз — 75% остатка. Сколько килограммов гвоздей осталось на складе? Найдите значение получившегося выражения при m = 1200; 300; 50.

549. Выполните действия:

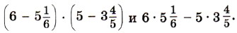
550. Сравните выражения

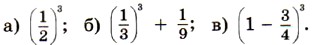
551. Найдите значение выражения:

552. Вычислите устно:

553. Выполните умножение устно:

554. Вычислите:

От какого числа надо отнять чтобы получить

556. Подумайте, как из числа, записанного в центре (рис. 27), можно получить числа, записанные в кружках.

Рис. 27

557. Москва основана в 1147 г., а Санкт-Петербург — в 1703 г. Сколько лет Москве и сколько лет Санкт-Петербургу? На сколько лет Москва старше Санкт-Петербурга?

558. Подсчитайте по модели, сколько граней, вершин, рёбер у треугольной пирамиды; у четырёхугольной пирамиды. Попробуйте догадаться, сколько граней, вершин, рёбер у шестиугольной пирамиды.

559. Куплено 15 кг яблок. На приготовление варенья израсходовали купленных яблок. Сколько килограммов яблок было израсходовано на варенье? Сколько килограммов яблок осталось?

<<< К началу      Окончание >>>

 

 

???????@Mail.ru