Главная >> Математика 6 класс. Виленкин

§ 4. Отношения и пропорции

24. Длина окружности и площадь круга (окончание)

861. Масштаб карты 1 : 100 000. Заполните таблицу:

862. Запишите масштаб карты, если отрезок на местности в 1 км изображается на карте отрезком 10 см.

863. Запишите масштаб рисунка, если он изображает фигуру, увеличивая её в 50 раз.

864. Решите задачу, составив пропорцию:

1) В 2,5 кг баранины содержится 0,4 кг белков. Сколько килограммов белков содержится в 3,2 кг баранины?
2) В 6,5 кг свинины содержится 2,6 кг жиров. Сколько жиров содержится в 10,5 кг такой свинины?

865. Вычислите:

866. На рисунке 45 изображён план двухкомнатной квартиры в масштабе 1 : 200. Определите по плану сумму площадей двух жилых комнат (I и II) и площадь, которую занимают остальные помещения этой квартиры.

867. С помощью тонкой нити измерьте длину какой-нибудь окружности (на стакане, ведре, тарелке), измерьте длину диаметра. Найдите отношение длины окружности к длине диаметра и сравните полученный результат с числом .

868. Найдите длину окружности, если её радиус равен 36 см; 0,44 см; 125 км. (Число округлите до сотых.)

869. Диаметр колеса тепловоза равен 180 см. За 2,5 мин колесо сделало 500 оборотов. С какой скоростью идёт тепловоз?

870. Выполните измерения и вычислите площадь каждой заштрихованной фигуры (рис. 46).

871. Рабочий выполнил работы за 9 ч. За какое время он выполнит работы, если будет работать с той же производительностью?

872. Ведро вмещает 6 л бензина. В такое же ведро вместо бензина налито равное (по массе) количество дёгтя. Сколько литров дёгтя налито в ведро, если масса 1 л бензина 0,8 кг, а масса 1 л дёгтя 1,2 кг?

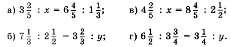
873. Найдите неизвестный член пропорции:

<<< К началу      Ответы >>>

 

 

???????@Mail.ru