Главная >> Математика 6 класс. Виленкин

24. Длина окружности и площадь круга

Длина окружности и площадь круга: Ответы

847 . Если r = 24 см, то C = 2 • 3,14 • 24 = 150,72 см; если r = 4,9 дм, то C = 2 • 3,14 • 4,9 = 29,516 дм; если r = 18,5 м, то C = 2 • 3,14 • 18,5 = 116,18 м.

848. Если r = 1,54 м, то м; если r = 5,67 дм, то см.

849. ≈ 3,1; d = 12 см. Длина окружности компакт-диска С = • d = 3,1 • 12 = 37,2 см.

850. Результат измерения диаметра: d = 2,7 см. С = d = 3,14 • 2,7; 0,5C = 3,14 • 2,7 • 0,5 = 4,239 см.

851. C = d; 56,52 = 3,14 • d; d = 56,52 : 3,14 = 18 дм; d = 37,68 : 3,14 = 12 см.

852. За один оборот колесо проходит расстояние, равное длине окружности:

853. Результаты измерений: r1 = 11 мм; r2=23 мм. S1 = r21 = 3,14 • 11 • 11 = 379,94 мм2; S2 = • r22 = 3,14 • 23 • 23 = 1661,06 мм2.

854. C = d; 40,8 ≈ 3 • d; d ≈ 40,8 : 3 = 13,6 м; r = d : 2 = 13,6 : 2 = 6,8 м; S = • r2 =3,14 • 6,8 • 6,8 = 138,72 мг2.

855. d = 6,12 м; r = 3,06 м; площадь циферблата: S = r2 =3,14 • 3,0 • 3,0 ≈ 29,40 м2. За один час минутная стрелка совершает полный оборот, и конец стрелки проходит путь, равный длине окружности. r = 3,27 м; C = 2r = 2 • 3,14 • 3,27 ≈ 20,54 м.

856. Площадь первой заштрихованной фигуры равна S1 - S2, где S1 - площадь большого круга, S2 - площадь маленького круга. Результаты измерений: радиус большого круга r1 =18 мм; радиус маленького круга г2 = 10 мм; S1 - S2 = r21 - r22 = 3,14 • (18 • 18-10 • 10) = 3,14 • 224 = 703,36 мм2.

Площадь второй фигуры равна S1- S2, где S1 - площадь прямоугольника, S2 - площадь круга. Стороны прямоугольника: а=38 мм; b=21 мм. Радиус круга r = 9 мм. S1 - S2 = ab - - r2 =38 • 27 - 3,14 • 9• 9 = 771,66 мм2.

857. Площадь пятиугольника OABCD равна сумме площадей 15 квадратов со стороной 1 см и трех прямоугольных треугольников со сторонами АВ, ВС, CD : S1 = 1 • 1 • 15 + 0,5 • 1 • 3 = 18,5 см2. Площадь четверти круга S2 = 0,25 • 3,14 • 25 = 19,625 см2. Площадь пятиугольника меньше площади четверти круга.

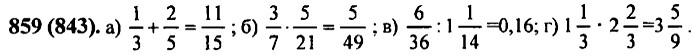
858. а) 30; б) 1050; в) 7; г) 0,5; д) 20,7.

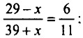
860. Пусть х неизвестное число. Составим уравнение:

(29 — x) • 11 = (39 + x) • 6; 29 • 11-11х = 39 • 6 + 6x: 17x = 85; х=5.

<<< К началу      Ответы >>>

 

 

???????@Mail.ru