Главная >> Сборник задач по физике. 7—9 классы. Лукашик. ГДЗ

Глава II. Движение и взаимодействие тел

Плотность вещества (окончание решений)

270.

271.

272.

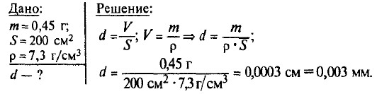
273.

274.

275.

276.

277. а) Взвесить кувшин с водой, потом пустой кувшин. Определить массу воды. Зная плотность воды, можно определить ее объем V = m/ρ. Это и есть вместимость кувшина.

278.

279.

280. Определить массу мотка и площадь поперечного сечения провода.

281.

282.

283.

284.

<<< К началу

 

 

???????@Mail.ru