Главная >> Электродинамика. Физика 10-11 класс. Мякишев

Глава 1. Электростатика

§ 1.26. Различные типы конденсаторов. Соединения конденсаторов

В зависимости от назначения конденсаторы имеют различное устройство.

Различные типы конденсаторов

Обычный технический бумажный конденсатор состоит из двух полосок алюминиевой фольги, изолированных друг от друга бумажной лентой, пропитанной парафином. Полоски и лента туго свернуты в компактный пакет небольшого размера (рис. 1.100).

бумажный конденсатор

В радиотехнике широко применяют конденсаторы переменной емкости (рис. 1.101). Такой конденсатор состоит из двух систем металлических пластин, которые при вращении рукоятки могут входить одна в другую. При этом меняется площадь перекрывающейся части пластин и, следовательно, емкость конденсатора.

конденсаторы

Значительного увеличения емкости за счет уменьшения расстояния между обкладками достигают в так называемых электролитических конденсаторах (рис. 1.102). Диэлектриком в них служит очень тонкая пленка оксидов, покрывающих одну из обкладок (полосок фольги). Второй обкладкой служит другая полоска и соединенная с ней бумага, пропитанная раствором проводящего вещества (электролита). Оксидная пленка разрушается при изменении полярности приложенного к электролитическому конденсатору напряжения. Поэтому перед включением такого конденсатора в цепь следует проверить соответствие знака разности потенциалов на данном участке цепи тому, который необходим для данного конденсатора.

Есть много других типов конденсаторов.

Очень часто конденсаторы соединяют друг с другом в батареи. Это позволяет при имеющемся наборе конденсаторов получать батареи различной емкости. Соединение конденсаторов может быть параллельным и последовательным.

Параллельное соединение конденсаторов

Параллельное соединение конденсаторов

При параллельном соединении двух конденсаторов емкостью C1 и С2 их обкладки соединяют попарно друг с другом (рис. 1.103). Под емкостью батареи понимают отношение заряда, сообщенного батарее, к разности потенциалов между обкладками конденсаторов. Разность потенциалов U при параллельном соединении одинакова для обоих конденсаторов. Заряд же батареи равен:

q = q1 + q2,

где q1 — заряд первого конденсатора, a q2 — второго. Емкость батареи равна:

Т ак к ак

При параллельном соединении конденсаторов их общая емкость равна сумме емкостей отдельных конденсаторов.

Если параллельно соединены n конденсаторов, то

Последовательное соединение конденсаторов

Последовательное соединение конденсаторов

Схема последовательного соединения двух конденсаторов изображена на рисунке 1.104. В этом случае отрицательно заряженная обкладка первого конденсатора соединена с положительно заряженной второго. Заряды обоих конденсаторов одинаковы. Действительно, если заряд крайней обкладки первого конденсатора равен +|q|, то на противоположной обкладке вследствие электростатической индукции появится заряд -|q|. Так как проводник между конденсаторами и соединяемые им обкладки в целом нейтральны, то заряд внутренней обкладки второго конденсатора равен +|q|.

Емкость батареи из последовательно соединенных конденсаторов

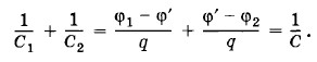
где φ1 и φ2 — потенциалы крайних обкладок. Емкости отдельных конденсаторов равны:

где φ' — потенциал внутренних обкладок.

Найдем сумму величин, обратных емкостям конденсаторов:

Следовательно, при последовательном соединении конденсаторов величина, обратная емкости батареи, равна сумме величин, обратных емкостям отдельных конденсаторов:

В общем случае для n конденсаторов справедливо равенство:

Емкость батареи последовательно соединенных конденсаторов меньше емкости конденсатора с минимальной емкостью в батарее.

Конденсаторы различных типов соединяют параллельно или последовательно. Это позволяет получить батареи конденсаторов различной емкости.

 

 

???????@Mail.ru