Главная >> Электродинамика. Физика 10-11 класс. Мякишев

Глава 1. Электростатика

§ 1.27. Энергия заряженных конденсаторов и проводников. Применения конденсаторов

Для того чтобы зарядить конденсатор, нужно совершить работу по разделению положительных и отрицательных зарядов. Согласно закону сохранения энергии эта работа равна энергии, приобретаемой конденсатором.
В том, что заряженный конденсатор, как и любая другая система заряженных тел, обладает энергией, можно убедиться, если к пластинам заряженного конденсатора большой емкости подключить лампочку карманного фонарика. На короткое время она вспыхнет.

Энергия плоского конденсатора

напряженность поля

Выведем формулу для энергии плоского конденсатора. Напряженность поля, созданного зарядом одной из пластин, равна , где Е — напряженность поля в конденсаторе (см. § 1.25).

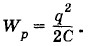
В однородном поле одной пластины находится заряд q, распределенный по поверхности другой пластины (рис. 1.105). Согласно формуле (1.18.4) для потенциальной энергии заряда в однородном поле энергия конденсатора равна:

где q — заряд конденсатора, a d — расстояние между пластинами*.

    Формула (1.18.4) справедлива для энергии точечного заряда в однородном поле. Но заряд на пластине можно мысленно разделить на малые элементы Δq. Энергия каждого элемента равна:
    Суммируя эти энергии, получим формулу (1.27.1).

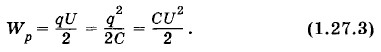
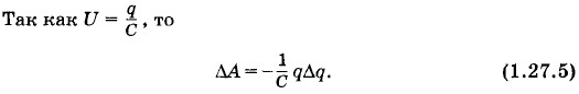
Так как Ed = U, где U разность потенциалов между обкладками конденсатора, то его энергия равна:

Эта энергия равна работе, которую совершит электрическое поле при сближении пластин вплотную.

Заменив в формуле (1.27.2) либо разность потенциалов, либо заряд с помощью выражения (1.25.1) для емкости конденсатора, получим:

Энергия произвольного конденсатора

Формулы (1.27.3) справедливы для энергии любого конденсатора, а не только плоского. Докажем это, используя более общий метод вычисления энергии.

Зарядку конденсатора в принципе можно осуществить так. Будем постепенно малыми порциями -Δq переносить отрицательный заряд с одной пластины на другую. При этом конденсатор будет заряжаться, а электрическое поле внутри него совершать работу. Если порция заряда -Δq мала, то можно считать, что напряжение U = φ1 - φ2 между его пластинами во время переноса заряда не меняется. Тогда работа ΔА, согласно формуле (1.19.8), равна:

ΔA = -ΔqU.                     (1.27.4)

Изменение энергии конденсатора в соответствии с формулой (1.17.1) равно:

Поле совершает отрицательную работу (ΔА < 0), а потенциальная энергия растет (ΔWр > 0).

На графике зависимости от q (рис. 1.106) приращение энергии ΔWp численно равно площади прямоугольника abcd со сторонами Δq. Полное изменение энергии (Wp) при возрастании заряда От нуля до q численно равно площади треугольника OBD, т. е.

Следовательно,

Это выражение совпадает с формулой (1.27.3) для энергии плоского конденсатора, выраженной через заряд и емкость. При данном выводе было совершенно несущественно, что конденсатор — плоский.

Энергия заряженного проводника

Любой заряженный проводник, подобно заряженному конденсатору, обладает энергией*.

    * Конечно, энергией обладает и заряженный диэлектрик, но вычислить его энергию сложно. Для проводника это сделать нетрудно, так как все его точки имеют одинаковый потенциал.

Будем заряжать проводник, перемещая к нему из бесконечности электрический заряд малыми порциями Δq. Все дальнейшие рассуждения подобны использованным выше для вычисления энергии конденсатора.

При перемещении заряда Δq электрическое поле проводника совершает работу

ΔА = Δq(φ∞ - φ), (1.27.7)

где φ — потенциал проводника, имеющего заряд q. Потенциал на бесконечности считаем равным нулю (φ∞ = 0). Тогда

где С — емкость проводника. В результате энергия заряженного проводника

В отличие от формул (1.27.3) здесь φ — потенциал проводника (вместо напряжения U), а С — емкость уединенного тела, а не конденсатора.

Окончание параграфа >>>

 

 

???????@Mail.ru