Главная >> Электродинамика. Физика 10-11 класс. Мякишев

Глава 2. Постоянный электрический ток

Измерение силы тока, напряжения и сопротивления

Измерение сопротивления амперметром и вольтметром

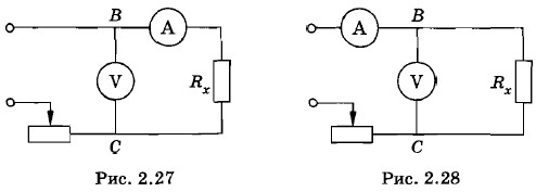
Включив в цепь постоянного тока приборы, соединенные по схеме, изображенной на рисунке 2.27, и записав их показания, можно по формуле

определить значение сопротивления участка цепи между точками В и С. Однако R'x больше искомого сопротивления Rx на сопротивление амперметра, так как вольтметр измеряет сумму напряжений на резисторе и на амперметре. Эту схему следует применять при измерении сопротивлений, значительно больших сопротивления амперметра.

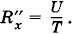
Соединив приборы по схеме, изображенной на рисунке 2.28, и записав их показания, можно по аналогичной формуле определить значение сопротивления участка цепи ВС: Однако R"x теперь оказывается меньше искомого сопротивления Rx, так как сила тока, измеряемая амперметром, равна сумме сил токов в резисторе и вольтметре. Этой схемой следует пользоваться при измерении сопротивлений, значительно меньших сопротивления вольтметра.

Таким образом, ни одна из приведенных схем не дает возможности точного измерения сопротивления.

Определение сопротивления мостиком Уитстона

С помощью установки, называемой мостиком Уитстона, сопротивление измеряют более точно, чем на основе закона Ома.

мостик Уитстона

В схему мостика Уитстона входит реохорд, состоящий из линейки с делениями, на которой натянута тонкая однородная проволока из никелина или другого сплава, имеющего большое удельное сопротивление (рис. 2.29). Между концами Aw В проволоки включены соединенные последовательно: резистор с известным сопротивлением R (между точками А и С) и резистор, сопротивление Rx которого должно быть измерено (между точками В и С). Точка С соединена с одним из зажимов гальванометра с нулем посередине шкалы. Другой зажим гальванометра гибкой проволокой присоединен к ползунку D, скользящему вдоль проволоки реохорда. Эта часть прибора CD похожа на мостик, перекинутый между двумя ветвями измерительной цепи, и дает название всей установке.

К концам А и В реохорда присоединены провода от зажимов источника тока (аккумулятора или гальванического элемента).

При замыкании цепи ток пойдет по ветвям АС В и ADB. Ток пройдет также по мостику CD и вызовет отклонение стрелки гальванометра.

Передвигая ползунок D и тем самым меняя сопротивления R1 и R2 частей проволоки, можно добиться того, чтобы стрелка гальванометра установилась на нуле. А это означает, что ток через мостик не идет. Следовательно, потенциалы точек С и D равны между собой:

φС = φD = φ.

Обозначим потенциалы точек A и В соответственно через φА и φВ, а силу тока в ветвях АСВ и ADB через I1 и I2.

Тогда на основании закона Ома для участка цепи имеем:

φА - φ = I1Rx; φ - φB = I1R;

φА - φ = I2R1; φ - φB = I2R2.

Отсюда

I1Rx = I2R1 и I1R = I2R2.

Разделим почленно первое равенство на второе:

Так как проволока реохорда однородная, то сопротивления ее частей пропорциональны их длинам:

Эта формула позволяет измерить неизвестное сопротивление. Включив резисторы с измеряемым и известным сопротивлениями так, как показано на рисунке 2.29, передвигают ползунок до тех пор, пока стрелка гальванометра не установится на нуле. Затем измеряют «плечи» реохорда l1 и l2 и вычисляют неизвестное сопротивление по формуле (2.9.5).

Амперметр включают последовательно с проводником, в котором измеряют силу тока. Вольтметр включают параллельно проводнику, на котором измеряют напряжение.

<<< К началу параграфа

 

 

???????@Mail.ru