Главная >> Электродинамика. Физика 10-11 класс. Мякишев

Глава 2. Постоянный электрический ток

§ 2.9. Измерение силы тока, напряжения и сопротивления

Как измерить силу тока амперметром, а напряжение вольтметром, должен знать каждый.

Измерение силы тока

Для измерения силы тока в проводнике применяют специальный прибор — амперметр, который включают последовательно с этим проводником (рис. 2.23).

Угол отклонения стрелки амперметра зависит от силы тока в его измерительном механизме. В цепях постоянного тока сила тока измеряется обычно амперметрами магнитоэлектрической системы, устройство и принцип действия которых будут рассмотрены в главе 4.

Включение амперметра не должно вызывать изменения в режиме работы цепи, поэтому сопротивление амперметра должно быть малым по сравнению с сопротивлением соответствующего участка цепи.

Шунты к амперметру

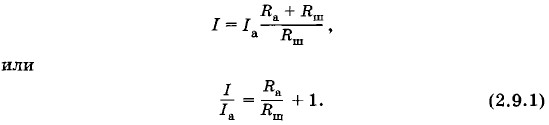
Для измерения силы тока, превышающей силу тока Iа, на которую рассчитан амперметр, можно воспользоваться этим же амперметром. Для этого надо параллельно амперметру подключить резистор так, чтобы сила тока через амперметр была не больше величины Iа. Такой резистор называется шунтом (рис. 2.24).

При шунтировании амперметра измеряемый ток (I) в точке (узле) 1 делится на две части: часть тока проходит через амперметр (Iа), а остальная часть — через шунт (Iш), т. е. I = Iа + Iш. Разность потенциалов (напряжение) между точками 1 и 2 (см. рис. 2.24) равна:

где Ra — сопротивление амперметра и Rш — сопротивление шунта.

Из последнего выражения находим:

Отношение (обозначим его буквой n) показывает, во сколько раз (с применением шунта) расширяется предел измерения силы тока амперметром, т. е. возрастает цена его деления. Иначе говоря, при включении шунта чувствительность амперметра уменьшается в n раз: стрелка прибора отклонится на угол, в п раз меньший, чем без шунта.

Из выражения (2.9.1) с учетом того, что найдем сопротивление шунта:

Сечение шунтов должно быть таким, чтобы была исключена возможность их нагревания, так как в противном случае сопротивление шунта Rш будет изменяться в процессе измерения.

Измерение напряжения

Вольтметр

О приборе для измерения напряжения — вольтметре — мы уже говорили в § 2.4 в связи с опытной проверкой закона Ома. Вольтметр присоединяют параллельно участку цепи, напряжение на котором хотят измерить (рис. 2.25). Напряжение на вольтметре такое же, как и на участке цепи. Однако включение вольтметра в цепь изменяет сопротивление участка, где он включен. Оно теперь равно не R, а где Rв — сопротивление вольтметра. Из-за этого измеряемое напряжение на участке уменьшается. Для того чтобы вольтметр не вносил заметных искажений в измеряемое напряжение, его сопротивление должно быть большим по сравнению с сопротивлением того участка цепи, параллельно которому он включается. В этом легко убедиться, если выражение для R' преобразовать так:

Добавочное сопротивление

Любой вольтметр рассчитан на измерение напряжения, не превышающего некоторого предела (номинальное напряжение) Uв. Однако в ряде случаев измеряемое напряжение U может оказаться больше номинального напряжения имеющегося в нашем распоряжении вольтметра. Но если к вольтметру присоединить последовательно с ним дополнительный резистор сопротивлением Rд (рис. 2.26), то предел измерения напряжения вольтметром расширится.

При включении в цепь вольтметра добавочного сопротивления измеряемое напряжение U делится на две части: одна часть Uв приходится на вольтметр, другая Uд — на добавочный резистор:

U = Uв + Uд.

Сила тока в цепи вольтметра

Отношение показывает, во сколько раз расширяется предел измерения напряжения вольтметром, т. е. возрастает цена его деления. Иначе говоря, при подсоединении дополнительного резистора чувствительность вольтметра уменьшается в n раз.

Из выражения (2.9.3) с учетом того, что , найдем значение добавочного сопротивления к вольтметру:

Rд = Rв(n - 1).                     (2.9.4)

Окончание параграфа >>>

 

 

???????@Mail.ru