Главная >> Электродинамика. Физика 10-11 класс. Мякишев

Глава 4. Магнитное поле токов

§ 4.9. Сила Лоренца

Наблюдение действия силы Лоренца

Действие силы Лоренца на движущиеся электроны можно наблюдать, поднося электромагнит (или постоянный магнит) к электронно-лучевой трубке. Меняя ток в электромагните, можно заметить, что отклонение электронного луча растет с увеличением модуля вектора магнитной индукции поля. При изменении направления тока в электромагните отклонение луча происходит в противоположную сторону.

Зависимость силы Лоренца от угла υ между векторами и можно обнаружить, наблюдая смещение электронного луча при изменении угла между осью магнита и осью электронной трубки.

Сила Лоренца не совершает работы

Так как сила Лоренца перпендикулярна скорости частицы, то она не совершает работы. Согласно теореме о кинетической энергии это означает, что сила Лоренца не меняет кинетическую энергию частицы и, следовательно, модуль ее скорости. Под действием силы Лоренца меняется лишь направление движения частицы.

Возникает естественный вопрос: почему же совершает работу электродвигатель? Ведь проводники обмотки якоря приводятся в движение магнитной силой. Рассмотрим этот вопрос подробнее.

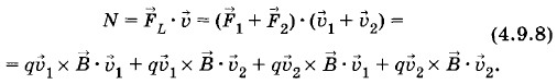
На рисунке 4.48 изображен один из проводников якоря электродвигателя в магнитном поле. Вектор магнитной индукции поля перпендикулярен плоскости чертежа и направлен от нас. По проводнику течет ток сверху вниз. Электроны движутся снизу вверх со скоростью 1 относительно проводника. Сам про водник движется слева направо со скоростью 2. Результирующая скорость = 1 + 2 направлена под углом к проводнику. Сила Лоренца L перпендикулярна скорости , и ее работа равна нулю. Разложим эту силу на составляющие 2 + 1 направленные вдоль проводника и перпендикулярно ему: L = 1 + 2. При этом

Работа силы Лоренца L в единицу времени (мощность) равна скалярному произведению

Так как то первый и последний члены уравнения (4.9.8) равны нулю. Полная работа силы Лоренца в единицу времени (мощность) равна:

Мощность положительна, так как векторы направлены одинаково (см. рис. 4.48). Так как то

Такую положительную работу совершает в единицу времени магнитное поле по перемещению проводника в целом. Это и есть та работа, которую совершает электродвигатель.

Мощность отрицательна, так как векторы направлены в противоположные стороны. Из-за того что

Эту отрицательную работу совершает в единицу времени магнитное поле по торможению электронов в проводнике.

Положительная работа силы 1 равна по модулю отрицательной работе силы 2, и именно потому полная работа силы Лоренца равна нулю.

Электроны движутся в проводнике без торможения за счет работы источника. Именно источник ЭДС поставляет энергию, необходимую для работы электродвигателя.

На движущуюся заряженную частицу со стороны магнитного поля действует сила Лоренца. Эта сила перпендикулярна скорости и не совершает работы.

<<< К началу параграфа

 

 

???????@Mail.ru