Главная >> Электродинамика. Физика 10-11 класс. Мякишев

Глава 4. Магнитное поле токов

§ 4.10. Применение силы Лоренца. Циклический ускоритель

Действие магнитного поля на движущиеся заряды широко используется в современной технике и играет важную роль в природе. Приведем некоторые примеры.

Движение заряженной частицы в однородном магнитном поле

Наиболее простой случай движения заряженной частицы в магнитном поле — это движение в однородном магнитном поле с магнитной индукцией, перпендикулярной начальной скорости частицы (рис. 4.49). Рассмотрим это движение количественно.

Движение заряженной частицы

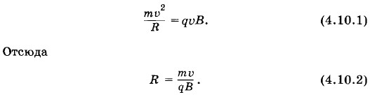
Так как магнитное поле не меняет модуля скорости, то остается неизменным и модуль силы Лоренца. Эта сила перпендикулярна скорости и, следовательно, определяет центростремительное ускорение частицы. Неизменность по модулю центростремительного ускорения частицы, движущейся с постоянной по модулю скоростью, означает, что радиус кривизны R плоской траектории частицы постоянен. Частица равномерно движется по окружности радиусом R. Определим этот радиус. Согласно второму закону Ньютона

Следовательно, измерив R при известных υ и В, мы можем определить удельный заряд различных частиц.

Масс-спектрограф

С помощью магнитного поля можно разделять заряженные частицы по их удельным зарядам. Одновременно можно точно определять массы частиц. Разделение частиц осуществляется в приборах, называемых масс-спектрографами.

На рисунке 4.50 изображена принципиальная схема простейшего масс-спектрографа. Вакуумная камера прибора помещена в магнитное поле (вектор индукции перпендикулярен рисунку). Ускоренные электрическим полем заряженные частицы (электроны или ионы), описав дугу, попадают на фотопластинку, где оставляют след, позволяющий с большой точностью измерить радиус траектории R. По этому радиусу определяется удельный заряд иона. Зная же заряд иона, легко определить его массу.

Масс-спектрограф

Циклотрон

Покажем, используя формулу (4.10.2), что время прохождения данной частицей полуокружности не зависит от радиуса полуокружности и от скорости частицы. В самом деле,

время прохождения частицей полуокружности

т. е. Δt зависит только от свойств частицы и индукции поля.

Этот факт используется в циклотроне для ускорения заряженных частиц сравнительно небольшим электрическим полем в течение ряда циклов.

Циклотрон устроен следующим образом. Два электрода специальной формы — дуанты (напоминают полый цилиндр с крышками, разрезанный вдоль оси) находятся в камере, где поддерживается вакуум (рис. 4.51). Дуанты помещают между полюсами сильного магнита, и к ним подводится переменная разность потенциалов. В центре камеры между дуантами располагают источник заряженных частиц. В тот момент, когда между дуантами существует высокая разность потенциалов, электрическое поле в промежутке между ними ускоряет заряженные частицы.

устройство циклотрона

Окончание параграфа >>>

 

 

???????@Mail.ru